Multiprotocol Label Switching (MPLS) is a label switching technology that provides the ability to set up connection-oriented paths over a connectionless IP network. MPLS facilitates network traffic flow and provides a mechanism to engineer network traffic patterns independently from routing tables. MPLS sets up a specific path for a sequence of packets. The packets are identified by a label inserted into each packet. MPLS is not enabled by default and must be explicitly enabled.
MPLS is independent of any routing protocol but is considered multiprotocol because it works with the Internet Protocol (IP), Asynchronous Transport Mode (ATM), and frame relay network protocols.
MPLS requires a set of procedures to enhance network layer packets with label stacks which thereby turns them into labeled packets. Routers that support MPLS are known as Label Switching Routers (LSRs). In order to transmit a labeled packet on a particular data link, an LSR must support the encoding technique which, when given a label stack and a network layer packet, produces a labeled packet.
In MPLS, packets can carry not just one label, but a set of labels in a stack. An LSR can swap the label at the top of the stack, pop the stack, or swap the label and push one or more labels into the stack. The processing of a labeled packet is completely independent of the level of hierarchy. The processing is always based on the top label, without regard for the possibility that some number of other labels may have been above it in the past, or that some number of other labels may be below it at present.
As described in RFC 3032, MPLS Label Stack Encoding, the label stack is represented as a sequence of label stack entries. Each label stack entry is represented by 4 octets. Figure 1 displays the label placement in a packet.

Field | Description |
Label | This 20-bit field carries the actual value (unstructured) of the label. |
Exp | This 3-bit field is reserved for experimental use. It is currently used for Class of Service (CoS). |
S | This bit is set to 1 for the last entry (bottom) in the label stack, and 0 for all other label stack entries. |
TTL | This 8-bit field is used to encode a TTL value. |
A stack can carry several labels, organized in a last in/first out order. The top of the label stack appears first in the packet and the bottom of the stack appears last, as shown in Figure 2.

The label value at the top of the stack is looked up when a labeled packet is received. A successful lookup reveals:
In addition, the lookup may reveal outgoing data link encapsulation and other information needed to properly forward the packet.
An empty label stack can be thought of as an unlabeled packet. An empty label stack has zero (0) depth. The label at the bottom of the stack is referred to as the Level 1 label. The label above it (if it exists) is the Level 2 label, and so on. The label at the top of the stack is referred to as the Level m label.
Labeled packet processing is independent of the level of hierarchy. Processing is always based on the top label in the stack which includes information about the operations to perform on the packet's label stack.
Packets traveling along an LSP (see Label Switching Routers) are identified by its label, the 20-bit, unsigned integer. The range is 0 through 1,048,575. Label values 0 to 15 are reserved and are defined below as follows:
The router uses labels for MPLS, RSVP-TE, LDP, BGP Label Unicast, Segment Routing, as well as packet-based services such as VLL and VPLS.
Label values 16 through 1,048,575 are defined as follows:
Reserved label blocks are used to reserve a set of labels for allocation for various applications. These reserved label blocks are separate from the existing ranges such as the static-labels-range, and are not tied to the bottom of the labels range. For example, a reserved range may be used as a Segment Routing Local Block (SRLB) for local segment identifiers (SIDs). Ranges are reserved from the dynamic label range and up to four reserved label block ranges may be configured on a system.
A reserved label block is configured using the following:
A range can be configured up to the maximum supported MPLS label value on the system.
The router supports both the MPLS entropy label, as specified in RFC 6790, and the flow-aware transport (FAT) label (the FAT label is also known as the hash label), as specified in RFC 6391. LSR nodes in a network can load-balance labeled packets in a more granular way than by hashing on the standard label stack by demarking the presence of individual flows on the LSP. The labels also remove the need to have an LSR inspect the payload below the label stack and check for an IPv4 or IPv6 header to determine how to apply load balancing.
The hash label is primarily applicable to Layer 2 services such as VLL and VPLS, while the entropy label (EL) is applicable to more general scenarios where a common way to indicate flows on a wide range of services suitable for load balancing is required.
The application of a hash label or an entropy label is mutually exclusive for a service.
The hash label is supported on VLL, VPRN, or VPLS services bound to any MPLS type encapsulated SDPs, as well as to a VPRN service using auto-bind-tunnel with the resolution-filter set to any MPLS tunnel type. When enabled, the ingress data path is modified such that the result of the hash on the payload packet header is communicated to the egress data path for use as the value of the label field of the hash label. The egress data path appends the hash label to the bottom of the stack (BoS) and sets the S-bit to 1. The user enables the signaling of the hash-label capability under a VLL spoke SDP, a VPLS spoke SDP or mesh SDP, or an IES or VPRN spoke SDP interface by adding the signal-capability option. When this capability is enabled, the decision to insert the hash label on the user and control plane packets by the local PE is determined by the outcome of the signaling process and may override the local PE configuration.
The MPLS entropy label provides a similar function to the hash label but is applicable to a wider range of services. The entropy label is appended directly below the tunnel label. As with the hash label, the value of the entropy label is calculated based on a hash of the packet payload header.
The router supports the entropy label for the following services and protocols:
It is supported when used with the following tunnel types:
The entropy label is not supported on P2MP LSPs.
The entropy label indicated (ELI) label (value=7) is a special-purpose label that indicates that the entropy label follows in the stack. It is always placed immediately below the tunnel label to which hashing applies. Therefore, the EL results in two labels being inserted in the MPLS label stack; the EL and its accompanying ELI.
Three criteria are used to determine if an EL and an ELI are inserted on a labeled packet belonging to a service by an ingress LER:
Each of these conditions must be true before the ingress LER inserts the EL and ELI into the label stack.
An LSR for RSVP and LDP tunnels passes the ELC from the downstream LSP segment to upstream peers. However, releases of SR OS that do not support EL functionality do not pass the ELC to their peers.
This section describes entropy label processing. Details specific to particular services or other tunnel types are described in the L2 Services and EVPN Guide, L3 Services Guide, and the Unicast Routing Protocols Guide.
The SR OS router follows the procedures at the ingress LER as specified in Section 4.2 of RFC 6790. In general, the router inserts an EL in a packet if the egress LER for the LSP tunnel has signaled support for ELs, the EL is configured for the service that the packet belongs to, and the EL is not disabled for an RSVP LSP. If there are multiple LSPs in a hierarchy (for example, LDP over RSVP), the router only inserts a single EL and ELI pair under the innermost LSP label closest to the service payload that has advertised EL capability. The router does not insert an EL in a packet belonging to a service for which the hash label has been configured, even if the far end for the LSP tunnel has advertised ELC. The system instead inserts a hash label, as specified by the hash label feature.
If the downstream LSR or LER has signaled implicit or explicit NULL label for a tunnel that is ELC, the router still inserts the EL when required by the service. This ensures consistent behavior as well as ensuring that entropy as determined by the ingress LER is maintained where a tunnel with an implicit NULL label is stitched at a downstream LSR.
If an LSR is configured for load balancing and an EL is found in the label stack, the LSR takes the EL into account in the hashing algorithm as follows:
An EL and its associated ELI are not exposed when a tunnel label is swapped at an LSR acting as an LSP stitching point. Therefore, the EL and ELI are forwarded as any other packet on the LSP.
If an EL is detected in the label stack at an egress LER for a tunnel where the tunnel label that the EL is associated with is popped, then the EL is also popped and the packet is processed as normal. This occurs whether or not the system has signaled ELC.
If an ELI is popped that has the BoS bit set, then the system discards the packet and raises a trap.
A router acting as a stitching point between two LSPs maps the ELC received in signaling for a downstream segment to the upstream segment for the level in the LSP hierarchy being stitched.
If an LSR is stitching an RSVP or LDP segment to a downstream segment of a tunnel type that does not support ELC signaling (for example, BGP) and override-tunnel-elc is configured at the LSR for to downstream segment, then the system signals ELC on the upstream LSP segment. The override-tunnel-elc command must be configured to reflect whether all possible downstream LERs are entropy-label-capable; otherwise, packets with an EL are discarded by a downstream LER that is not entropy-label-capable.
The mapping of ELC across LDP-BGP stitching points is not supported. If a downstream tunnel endpoint signals ELC, this signal is not automatically propagated upstream. The EL and ELI are not inserted on these LSPs by the ingress LER.
Service OAM packets or OAM packets within the context of a shortcut (for example, ICMP Ping or traceroute packets), also include an EL and ELI if ELC is signaled for the corresponding tunnel and the entropy-label command is enabled for the service. The EL and ELI is inserted at the same level in the label stack as it is in user data packets, which is under the innermost LSP label closest to the service payload that has advertised ELC. The EL and ELI therefore always reside at a different level in the label stack than the special-purpose labels related to the service payload (such as the Router Alert label). OAM packets at the LSP level, such as LSP ping and LSP trace, do not have the EL and ELI inserted.
If EL insertion is configured for a VPLS or VLL service, the MTU of the SDP binding is automatically reduced to account for the overhead of the EL and ELI labels. The MTU is reduced whether or not the LSP tunnel used by the service is entropy-label-capable.
The EL requires the insertion of two additional labels in the label stack. In some cases, the insertion of EL and ELI may result in an unsupported label stack depth or large changes in the label stack depth during the lifetime of an LSP. For RSVP LSPs, the entropy-label command under the config>router>mpls and config>router>mpls>lsp contexts provides local control at the head-end of an LSP over whether the entropy label is inserted on an LSP irrespective of the entropy label capability signaled from the egress LER, and control over how the additional label stack depth is accounted for. This control allows a user to avoid entropy label insertion where there is a risk of the label stack becoming too deep.
LSRs perform the label switching function. LSRs perform different functions based on its position in an LSP. Routers in an LSP do one of the following:
A router in your network can act as an ingress, egress, or transit router for one or more LSPs, depending on your network design.
An LSP is confined to one IGP area for LSPs using constrained-path. They cannot cross an autonomous system (AS) boundary.
Static LSPs can cross AS boundaries. The intermediate hops are manually configured so the LSP has no dependence on the IGP topology or a local forwarding table.
The following are LSP types:
If fast reroute is configured, the ingress router signals the routers downstream. Each downstream router sets up a detour for the LSP. If a downstream router does not support fast reroute, the request is ignored and the router continues to support the LSP. This can cause some of the detours to fail, but otherwise the LSP is not impacted.
No bandwidth is reserved for the rerouted path. If the user enters a value in the bandwidth parameter in the config>router>mpls>lsp>fast-reroute context, it has no effect on the LSP backup LSP establishment.
Hop-limit parameters specifies the maximum number of hops that an LSP can traverse, including the ingress and egress routers. An LSP is not set up if the hop limit is exceeded. The hop count is set to 255 by default for the primary and secondary paths. It is set to 16 by default for a bypass or detour LSP path.
BFD for MPLS LSPs monitors the LSP between its LERs, regardless of how many LSRs the LSP may traverse. Therefore, it enables local faults on individual LSPs to be detected, whether or not they also affect forwarding for other LSPs or IP packet flows. This makes BFD for MPLS LSPs ideal for monitoring LSPs carrying specific high-value services, where detecting forwarding failures in the minimal amount of time is critical. The system raises an SNMP trap, and indicates the BFD session state in show and tools dump commands if an LSP BFD session goes down. It can also optionally determine the availability of the tunnel in TTM for use by applications, or trigger a switchover of the LSP from the currently active path to a backup path.
The system supports LSP BFD on RSVP LSPs. See Label Distribution Protocol for information about using LSP BFD on LDP LSPs see Seamless BFD for SR-TE LSPs for information about Seamless BFD on SR-TE LSPs. BFD packets are encapsulated in an MPLS label stack corresponding to the FEC that the BFD session is associated with, as described in Section 7 of RFC 5884, Bidirectional Forwarding Detection (BFD) for MPLS Label Switched Paths (LSPs).
Since RSVP LSPs are unidirectional, a routed return path is used for the BFD control packets from the egress LER towards the ingress LER.
A BFD session on an LSP is bootstrapped using LSP ping. LSP ping is used to exchange the local and remote discriminator values to use for the BFD session for a particular MPLS LSP or FEC.
SR OS supports the sending of periodic LSP ping messages on an LSP for which LSP BFD has been configured, as specified in RFC 5884. The ping messages are sent, along with the bootstrap TLV, at a configurable interval for LSPs on which bfd-enable has been configured. The default interval is 60 s, with a maximum interval of 300 s. The LSP ping echo request message uses the system IP address as the default source address. An alternative source address consisting of any routable address that is local to the node may be configured, and is used if the local system IP address is not routable from the far-end node.
| Note: SR OS does not take any action if a remote system fails to respond to a periodic LSP ping message. However, when the show>test-oam>lsp-bfd command is executed, it displays a return code of zero and a replying node address of 0.0.0.0 if the periodic LSP ping times out. |
The periodic LSP ping interval is configured using the config>router>mpls>lsp>bfd>lsp-ping-interval seconds command.
The no lsp-ping-interval command reverts to the default of 60 s.
LSP BFD sessions are recreated after a high-availability switchover between active and standby CPMs. However, some disruption may occur to LSP ping due to LSP BFD.
At the tail end of an LSP, sessions are recreated on the standby CPM following an HA switchover. The following current information is lost from an active tools dump test-oam lsp-bfd tail display:
Any new, incoming bootstrap requests are dropped until LSP BFD has become active. When LSP BFD has finished becoming active, new bootstrap requests are considered.
There are four steps to configuring LSP BFD.
| Note: The default number of LSP BFD sessions is zero. |
LSP BFD uses BFD templates to set generic BFD session parameters.
The BFD template is configured as follows:
Network processor BFD is not supported for LSPs. The minimum supported BFD receive or transmit timer interval for RSVP LSPs is 1 second. Therefore, an error is generated if a user tries to bind a BFD template with the type cpm-np command or any unsupported transmit or receive interval value to an LSP. An error is generated when the user attempts to commit changes to a BFD template that is already bound to an LSP if the new values are invalid for LSP BFD.
BFD templates may be used by different BFD applications (for example, LSPs or pseudowires). If the BFD timer values are changed in a template, the BFD sessions on LSPs or spoke SDPs to which that template is bound tries to renegotiate their timers to the new values.
The bfd-template uses a begin-commit model. To edit any value within the BFD template, a <begin> needs to be executed before the template context has been entered. However, a value is stored temporarily in the template-module until the commit is issued. Values are actually used once the commit is issued.
The config>router>lsp-bfd command enables support for LSP BFD and allows an upper limit to the number of supported sessions at the tail end node for LSPs, where it is disabled by default. This is useful because BFD resources are shared among applications using BFD, so a user may wish to set an upper limit to ensure that a certain number of BFD sessions are reserved for other applications. This is important at the tail end of LSPs where no per-LSP configuration context exists.
LSP BFD is enabled or disabled on a node-wide basis using the bfd-sessions max-limit command under the config>router>lsp-bfd context. This command also enables the maximum number of LSP BFD sessions that can be established at the tail end of LSPs to be limited.
The default is disabled. The max-limit parameter specifies the maximum number of LSP BFD sessions that the system allows to be established at the tail end of LSPs.
LSP BFD is applicable to configured RSVP LSPs as well as mesh-p2p and one-hop-p2p auto-LSPs.
LSP BFD is configured on an RSVP-TE LSP, or on the primary or secondary path of an RSVP-TE LSP, under the bfd context at the LSP head end.
A BFD template must always be configured first. BFD is then enabled using the bfd-enable command.
When BFD is configured at the LSP level, BFD packets follow the currently active path of the LSP.
The bfd-template provides the control packet timer values for the BFD session to use at the LSP head end. Since there is no LSP configuration at the tail end of an RSVP LSP, the BFD state machine at the tail end initially uses system-wide default parameters (the timer values are: min-tx: 1sec, min-rx: 1sec). The head end then attempts to adjust the control packet timer values when it transitions to the INIT state.
The BFD command wait-for-up-timer allows RSVP LSPs BFD sessions to come up during certain MBB and switchover events when the current active path is not BFD degraded (that is, BFD is not down). It is only applicable in cases where failure-action failover-or-down is also configured (see Using LSP BFD for LSP Path Protection) and applies to the following:
The wait-for-up-timer command is configurable at either the lsp>bfd, primary>bfd, or secondary>bfd context. The value that the system uses is the one configured under the same context in which bfd-enable is configured. The wait-for-up-timer has a range of 1-60 seconds and a default of 4 seconds.
BFD is configured at the primary path level, as follows:
BFD is configured on both standby and non-standby secondary paths as follows:
BFD sessions are not established on these paths unless they are made active, unless failure-action failover-or-down is configured. See Using LSP BFD for LSP Path Protection. If failure-action failover-or-down is configured then the top three best-preference primary and standby paths (primary and up to two standby paths, or three standby paths if no primary is present) are programmed in the IOM, and BFD sessions are established on all of them.
It is not possible to configure LSP BFD on a secondary path or on P2MP LSPs.
LSP BFD at the LSP level and the path level is mutually exclusive. That is, if LSP BFD is already configured for the LSP then its configuration for the path is blocked. Likewise it cannot be configured on the LSP if it is already configured at the path level.
LSP BFD is supported on auto-LSPs. In this case, LSP BFD is configured on mesh-p2p and one-hop-p2p auto-LSPs using the LSP template, as follows:
SR OS can determine the forwarding state of an LSP from the LSP BFD session, allowing users of the LSP to determine whether their transport is operational. If BFD is down on an LSP path, then the path is considered to be BFD degraded by the system.
Using the failure-action command, a user can configure the action taken by the system if BFD fails for an RSVP LSP or LDP prefix list. There are three possible failure actions:
In all cases, an SNMP trap is raised indicating that BFD has gone down on the LSP.
| Note: It is recommended that BFD control packet timers are configured to a value that is large enough to allow for transient data path disruptions that may occur when the underlying transport network recovers following a failure. |
The failure-action down command is supported for point-to-point RSVP (including mesh point-to-point and one-hop point-to-point auto-LSPs) and LDP LSPs. This command is configured within the config>router>mpls>lsp>bfd, config>router>mpls>lsp-template>bfd, or config>router>ldp>lsp-bfd contexts. For RSVP LSPs, it is only supported at the LSP level and not at the primary or secondary path levels. When configured, an LSP is made unavailable as a transport if BFD on the LSP goes down.
If BFD is disabled, MPLS installs the LSP as “usable” in the TTM. The failure-action configuration is ignored.
If BFD is enabled and no failure-action is configured, MPLS installs the LSP as “usable” in the TTM regardless of the BFD session state. BFD generates BFD Up and BFD Down traps.
If BFD is enabled and failure-action down is configured:
| Note: BFD session state is never used to trigger a switch of the active path when failure-action down is configured. |
The failure-action failover command is supported for point-to-point RSVP LSPs (except mesh point-to-point and one-hop point-to-point auto-LSPs because these do not have a secondary path). When failure action failover is configured, the system triggers a failover from the currently active path to the secondary path, the next-best preference secondary path, or the secondary-standby path of an LSP when an LSP BFD session configured at the LSP level transitions from an up state to a down state. Unlike failure-action failover-or-down, this failure action does not affect how LSP paths are programmed in the data path and only runs LSP BFD on the active path.
The LSP is always marked as usable in the TTM, regardless of the BFD session state and BFD traps that are generated when the BFD state machine transitions. If BFD is enabled and failure-action failover is configured, the following conditions apply.
Table 4 describes how the system behaves if a user changes the failure-action while BFD is down. The LSP remains on the current path unless (or until) the control plane takes action or the revert timer expires.
Action Combination (old action/new action) | Tunnel flag in TTM |
None/Down | as unusable |
None/Failover | as usable |
Down/None | as usable |
Down/Failover | as usable |
Failover/None | as usable |
Failover/Down | as unusable |
The active path of an LSP is switched to an alternative path in the following cases:
Table 5 describes path switchover events depending on the failure action configuration.
BFD failure-action configuration | Old active path | New active path | Switchover to new path | |
bfd-enable configuration at LSP or path | BFD session state | bfd-enable configuration at LSP or path | ||
no failure-action failure-action failover | Any | Any | Any | Switch immediately without checking the BFD session state on new path. |
failure-action down | BFD enabled | BFD session up | BFD enabled | Wait for a maximum of 10 seconds for the BFD session to come up on the new path before switching. If the BFD session does not come up on the new path after 10 seconds, switch anyway. |
BFD disabled | Switch immediately without checking the BFD session state on new path. | |||
BFD session down | BFD enabled | Switch immediately without checking the BFD session state on new path. | ||
BFD disabled | Switch immediately without checking the BFD session state on new path. | |||
BFD disabled | — | BFD enabled | Wait for a maximum of 10 seconds for the BFD session to come up on the new path before switching. If the BFD session does not come up on the new path after 10 seconds, switch anyway. | |
BFD disabled | Switch immediately without checking the BFD session state on new path. | |||
For failure-action failover-or-down, a path is in the degraded state if it has BFD enabled and the BFD session is not up. Switching between primary, standby, and secondary paths of the LSP will follow rules of best path selection algorithm, for example, a non-degraded path is better than a degraded path and a degraded primary is better than a degraded standby or secondary path. Since the BFD degraded state affects LSP active path selection, waiting for BFD to come up on new path is already accounted for and these cases have been excluded from Table 6.
Switching to an MBB path requires waiting for the BFD session to come up on the new MBB path. These cases are described in Table 6. This applies to MBB on both active and inactive paths to reduce the toggling of a BFD degraded state on the path.
BFD failure-action configuration | Old path | New MBB path | Switching to new path | |
bfd-enable configuration at LSP or path | BFD session state | bfd-enable configuration at LSP or path | ||
failure-action failover-or-down | BFD enabled | BFD session up | BFD enabled | Wait for a maximum of “w” seconds for the BFD session to come up on the new path before switching. If the BFD session does not come up on the new path after “w” seconds, switch anyway. Where w is the BFD wait-for-up-timer from the context where BFD is enabled. |
BFD disabled | This case is not applicable because the MBB path has same BFD configuration as existing path. | |||
BFD enabled | BFD session down | BFD enabled | Switch immediately without checking the BFD session state on new path. | |
BFD disabled | This case is not applicable because the MBB path has same BFD configuration as existing path. | |||
BFD disabled | — | BFD enabled | This case is not applicable because the MBB path has the same BFD configuration as existing path. | |
BFD disabled | Switch immediately without checking the BFD session state on new path. | |||
The MPLS/RSVP on Broadcast Interface feature allows MPLS/RSVP to distinguish neighbors from one another when the outgoing interface is a broadcast interface connecting to multiple neighbors over a broadcast domain. More specifically, in the case where a BFD session towards a specific neighbor on the broadcast domain goes down, the consecutive actions (for example, FRR switchover) only concerns the LSPs of the affected neighbor. Previously, the actions would have been taken on the LSPs of all neighbors over the outgoing interface.
The MPLS facility bypass method of MPLS Fast Re-Route (FRR) functionality is extended to the ingress node.
The behavior of an LSP at an ingress LER with both fast reroute and a standby LSP path configured is as follows:
SR OS implements dynamic bypass tunnels as defined in RFC 4090, Fast Reroute Extensions to RSVP-TE for LSP Tunnels. When an LSP is signaled and the local protection flag is set in the session_attribute object and/or the FRR object in the path message indicates that facility backup is desired, the PLR establishes a bypass tunnel to provide node and link protection. The bypass tunnel is selected if a bypass LSP that merges in a downstream node with the protected LSP exists, and if this LSP satisfies the constraints in the FRR object.
With the manual bypass feature, an LSP can be preconfigured from a PLR that is used exclusively for bypass protection. When a Path message for a new LSP requests bypass protection, the node first checks if a manual bypass tunnel satisfying the path constraints exists. If one is found, it is selected. If no manual bypass tunnel is found, the router dynamically signals a bypass LSP in the default behavior. Users can disable the dynamic bypass creation on a per node basis using the CLI.
A maximum of 1000 associations of primary LSP paths can be made with a single manual bypass by default. The max-bypass-associations integer command allows to increase or decrease the number of associations. If dynamic bypass creation is disabled on the node, it is recommended to configure additional manual bypass LSPs to handle the required number of associations.
Refer to Configuring Manual Bypass Tunnels for configuration information.
The PLR uses rules to select a bypass LSP among multiple manual and dynamic bypass LSPs at the time of establishment of the primary LSP path or when searching for a bypass for a protected LSP which does not have an association with a bypass tunnel: Figure 3 shows an example of bypass tunnel nodes.

The rules are:
If the user disables dynamic-bypass tunnels on a node while dynamic bypass tunnels were activated and were passing traffic, traffic loss will occur on the protected LSP. Furthermore, if no manual bypass exist that satisfy the constraints of the protected LSP, the LSP will remain without protection.
If the user configures a bypass tunnel on node B and dynamic bypass tunnels have been disabled, LSPs which have been previously signaled and which were not associated with any manual bypass tunnel, for example, none existed, are associated with the manual bypass tunnel if suitable. The node checks for the availability of a suitable bypass tunnel for each of the outstanding LSPs every time a RESV message is received for these LSPs.
If the user configures a bypass tunnel on node B and dynamic bypass tunnels have not been disabled, LSPs which have been previously signaled over dynamic bypass tunnels will not automatically be switched into the manual bypass tunnel even if the manual bypass is a more optimized path. The user will have to perform a make before break at the head end of these LSPs.
If the manual bypass goes into the down state in node B and dynamic bypass tunnels have been disabled, node B (PLR) will clear the “protection available” flag in the RRO IPv4 sub-object in the next RESV refresh message for each affected LSP. It will then try to associate each of these LSPs with one of the manual bypass tunnels that are still up. If it finds one, it will make the association and set again the “protection available” flag in the next RESV refresh message for each of these LSPs. If it could not find one, it will keep checking for one every time a RESV message is received for each of the remaining LSPs. When the manual bypass tunnel is back UP, the LSPs which did not find a match are associated back to this tunnel and the protection available flag is set starting in the next RESV refresh message.
If the manual bypass goes into the down state in node B and dynamic bypass tunnels have not been disabled, node B will automatically signal a dynamic bypass to protect the LSPs if a suitable one does not exist. Similarly, if an LSP is signaled while the manual bypass is in the down state, the node will only signal a dynamic bypass tunnel if the user has not disabled dynamic tunnels. When the manual bypass tunnel is back into the UP state, the node will not switch the protected LSPs from the dynamic bypass tunnel into the manual bypass tunnel.
The MPLS Fast Re-Route (FRR) feature implements a background task to evaluate Path State Block (PSB) associations with bypass LSP. The following is the task evaluation behavior.
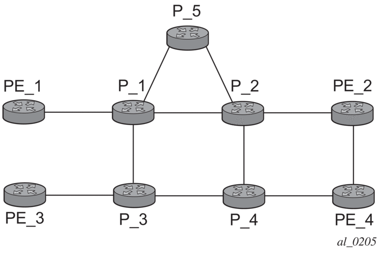
The MPLS FRR background task thus enables PLRs to be aware of the missing node protection and lets them regularly probe for a node-bypass. Figure 4 shows an example of FRR node protection.

The following describes an LSP scenario where:
LSP 1 has requested node protection, but due to the lack of an available path, it can only obtain link protection. Therefore, every 60 seconds the PSB background task triggers the PLR for LSP 1 to search for a new path that can provide node protection. Once P_4 is back online and such a path is available, a new bypass tunnel is signaled and LSP 1 gets associated with this new bypass tunnel.
The failover time during FRR consists of a detection time and a switchover time. The detection time corresponds to the time it takes for the RSVP control plane protocol to detect that a network IP interface is down or that a neighbor/next-hop over a network IP interface is down. The control plane can be informed of an interface down event when event is due to a failure in a lower layer such in the physical layer. The control plane can also detect the failure of a neighbor/next-hop on its own by running a protocol such as Hello, Keep-Alive, or BFD.
The switchover time is measured from the time the control plane detects the failure of the interface or neighbor/next-hop to the time the XCMs or IOMs completes the reprogramming of all the impacted ILM or service records in the data path. This includes the time it takes for the control plane to send a down notification to all XCMs or IOMs to request a switch to the backup NHLFE.
Uniform Fast-Reroute (FRR) failover enables the switchover of MPLS and service packets from the outgoing interface of the primary LSP path to that of the FRR backup LSP within the same amount of time regardless of the number of LSPs or service records. This is achieved by updating Ingress Label Map (ILM) records and service records to point to the backup Next-Hop Label to Forwarding Entry (NHLFE) in a single operation.
This section discusses an auto-bandwidth hierarchy configurable in the config>router>mpls>lsp context.
Adding auto-bandwidth at the LSP level starts the measurement of LSP bandwidth described in Measurement of LSP Bandwidth and allows auto-bandwidth adjustments to take place based on the triggers described in Periodic Automatic Bandwidth Adjustment.
When an LSP is first established, the bandwidth reserved along its primary path is controlled by the bandwidth parameter in the config>router>mpls>lsp>primary context, whether or not the LSP has auto-bandwidth enabled, while the bandwidth reserved along a secondary path is controlled by the bandwidth parameter in the config>router>mpls>lsp>secondary context. When auto-bandwidth is enabled and a trigger occurs, the system will attempt to change the bandwidth of the LSP to a value between min-bandwidth and max-bandwidth, which are configurable values in the lsp>auto-bandwidth context. min-bandwidth is the minimum bandwidth that auto-bandwidth can signal for the LSP, and max-bandwidth is the maximum bandwidth that can be signaled. The user can set the min-bandwidth to the same value as the primary path bandwidth but the system will not enforce this restriction. The system will allow:
All of the auto-bandwidth adjustments discussed are performed using MBB procedures.
Auto bandwidth can be added to an operational LSP at any time (without the need to shut down the LSP or path), but no bandwidth change occurs until a future trigger event. Auto bandwidth may also be removed from an operational LSP at any time and this causes an immediate MBB bandwidth change to be attempted using the configured primary path bandwidth.
A change to the configured bandwidth of an auto-bandwidth LSP has no immediate effect. The change only occurs if the LSP/path goes down (due to failure or administrative action) and comes back up, or if auto-bandwidth is removed from the LSP. The operator can force an auto-bandwidth LSP to be resized immediately to an arbitrary bandwidth using the appropriate tools commands.
Autobandwidth is supported for LSPs that have secondary or secondary standby paths. A secondary path is only initialized at its configured bandwidth when it is established, and the bandwidth is adjusted only when the secondary path becomes active.
This description makes use of the following terminology:
A secondary or standby secondary path is initially signaled with its configured bandwidth. Setup for the secondary path is triggered only when the active path goes down or becomes degraded (for example, due to FRR or preemption). An auto-BW triggered bandwidth adjustment (auto bandwidth MBB) only takes place on the active path. For example, if an auto-BW adjustment occurs on the primary path, which is currently active, no adjustment is made at that time to the secondary path since that path is not active.
When the active path changes, the current_bw is updated to the operational bandwidth of the newly active path. While the auto-BW MBB on the active path is in progress, a statistics sample could be triggered, and this would be collected in the background. Auto-bandwidth computations will use the current_bw of the newly active path. In case the statistics sample collection results in a bandwidth adjustment, the in-progress auto-BW MBB is restarted. If after five attempts, the auto-BW MBB fails, the current_bw and secondary operational BW remain unchanged.
For a secondary or standby secondary path, if the active path for an LSP changes (without the LSP going down), an auto-BW MBB is triggered for the new active path. The bandwidth used to signal the MBB is the operational bandwidth of the previous active path. If the MBB fails, it will retry with a maximum of five attempts. The reserved bandwidth of the newly active path will therefore be its configured bandwidth until the MBB succeeds.
For a secondary path where the active path goes down, the LSP will go down temporarily until the secondary path is setup. If the LSP goes down, all statistics and counters are cleared, so the previous path operational bandwidth is lost. That is, the operational BW of a path is not persistent across LSP down events. In this case, there is no immediate bandwidth adjustment on the secondary path.
The following algorithm is used to determine the signaled bandwidth on a newly active path:
If the primary path is not the currently active path and it has not gone down, then any MBB uses the configured BW for the primary path. However, if the configured BW is changed for a path that is currently not active, then a config change MBB is not triggered.
If the standby is SRLG enabled, and the active path is the standby, and the primary comes up, this will immediately trigger a delayed retry MBB on the standby. If the delayed retry MBB fails, immediate reversion to the primary occurs regardless of the retry timer.
When the system reverts from a secondary standby or secondary path to the primary path, a Delayed Retry MBB is attempted to bring bandwidth of the standby path back to its configured bandwidth. Delayed Retry MBB is attempted once, and if it fails, the standby is torn down. A Delayed Retry MBB has highest priority among all MBBs, so it will take precedence over any other MBB in progress on the standby path (for example, Config change or Preemption).
The system will carry-over the last signaled BW of the LSP over multiple failovers. For example, if an LSP is configured with auto-BW for some time, and adjusts its currently reserved bandwidth for the primary, and Monitor mode is then enabled, BW adjustment on the primary ceases, but the BW remains reserved at the last adjusted value. Next, the LSP fails over to a secondary or secondary standby. The secondary will inherit the last reserved BW of the primary, but then disable further adjustment as long as monitoring mode is enabled.
The system’s ability to carry-over the last signaled BW across failovers has the following limitations:
Automatic adjustment of RSVP LSP bandwidth based on measured traffic rate into the tunnel requires the LSP to be configured for egress statistics collection at the ingress LER. The following CLI shows an example:
All LSPs configured for accounting, including any configured for auto-bandwidth based on traffic measurements, must reference the same accounting policy. An example configuration of such an accounting-policy is shown below: in the CLI example below.
The record combined-mpls-lsp-egress command in the accounting policy has the effect of recording both egress packet and byte counts and bandwidth measurements based on the byte counts if auto-bandwidth is enabled on the LSP.
When egress statistics are enabled the CPM collects stats from of all XCMs or IOMs involved in forwarding traffic belonging to the LSP (whether the traffic is currently leaving the ingress LER via the primary LSP path, a secondary LSP path, an FRR detour path or an FRR bypass path). The egress statistics have counts for the number of packets and bytes forwarded per LSP on a per-forwarding class, per-priority (in-profile vs. out-of-profile) basis. When auto-bandwidth is configured for an LSP the ingress LER calculates a traffic rate for the LSP as follows:
Average data rate of LSP[x] during interval[i] = F(x, i)—F(x, i-1)/sample interval
F(x, i) — The total number of bytes belonging to LSP[x], regardless of forwarding-class or priority, at time[i]
sample interval = time[i] — time [i-1], time[i+1] — time[i], and so on.
The sample interval is the product of sample-multiplier and the collection-interval specified in the auto-bandwidth accounting policy. A default sample-multiplier for all LSPs may be configured using the config>router>mpls>auto-bandwidth-defaults command but this value can be overridden on a per-LSP basis at the config>router>mpls>lsp>auto-bandwidth context. The default value of sample-multiplier (the value that would result from the no auto-bandwidth-defaults command) is 1, which means the default sample interval is 300 seconds.
Over a longer period of time called the adjust interval the router keeps track of the maximum average data rate recorded during any constituent sample interval. The adjust interval is the product of adjust-multiplier and the collection-interval specified in the auto-bandwidth accounting-policy. A default adjust-multiplier for all LSPs may be configured using the config>router>mpls>auto-bandwidth-multiplier command but this value can be overridden on a per-LSP basis at the config>router>mpls>lsp>auto-bandwidth context. The default value of adjust-multiplier (the value that would result from the no auto-bandwidth-multiplier command) is 288, which means the default adjust interval is 86400 seconds or 24 hours. The system enforces the restriction that adjust-multiplier is equal to or greater than sample-multiplier. It is recommended that the adjust-multiplier be an integer multiple of the sample-multiplier.
The collection-interval in the auto-bandwidth accounting policy can be changed at any time, without disabling any of the LSPs that rely on that policy for statistics collection.
The sample-multiplier (at the mpls>auto-bandwidth level or the lsp>auto-bandwidth level) can be changed at any time. This will have no effect until the beginning of the next sample interval. In this case the adjust-interval does not change and information about the current adjust interval (such as the remaining adjust-multiplier, the maximum average data rate) is not lost when the sample-multiplier change takes effect.
The system allows adjust-multiplier (at the mpls level or the lsp>auto-bandwidth level) to be changed at any time as well but in this case the new value shall have no effect until the beginning of the next adjust interval.
Byte counts collected for LSP statistics include layer 2 encapsulation (Ethernet headers and trailers) and therefore average data rates measured by this feature include Layer 2 overhead as well.
The system offers the option to measure the bandwidth of an RSVP LSP (see Measurement of LSP Bandwidth) without taking any action to adjust the bandwidth reservation, regardless of how different the measured bandwidth is from the current reservation. Passive monitoring is enabled using the config>router>mpls>lsp>auto-bandwidth>monitor-bandwidth command.
The show>router>mpls>lsp detail command can be used to view the maximum average data rate in the current adjust interval and the remaining time in the current adjust interval.
Automatic bandwidth allocation is supported on any RSVP LSP that has MBB enabled. MBB is enabled in the config>router>mpls>lsp context using the adaptive command. If the monitor-bandwidth command is enabled in config>router>mpls>lsp>auto-bandwidth context, the LSP is not resignaled to adjust its bandwidth to the calculated values.
If an eligible RSVP LSP is configured for auto-bandwidth, by entering auto-bandwidth at the config>router>mpls>lsp context, then the ingress LER decides every adjust interval whether to attempt auto-bandwidth adjustment. The following parameters are defined:
At the end of every adjust interval the system decides if an auto-bandwidth adjustment should be attempted. The heuristics are as follows:
Changes to min-bandwidth, max-bandwidth and any of the threshold values (up, up%, down, down%) are permitted at any time on an operational LSP but the changes have no effect until the next auto-bandwidth trigger (for example, adjust interval expiry).
If the measured bandwidth exceeds the current bandwidth by more than the percentage threshold and also by more than the absolute threshold then the bandwidth is re-signaled to the measured bandwidth (subject to min and max constraints).
The adjust-interval and maximum average data rate are reset whether the adjustment succeeds or fails. If the bandwidth adjustment fails (for example, CSPF cannot find a path) then the existing LSP is maintained with its existing bandwidth reservation. The system does not retry the bandwidth adjustment (for example, per the configuration of the LSP retry-timer and retry-limit).
For cases where the measured bandwidth of an LSP has increased significantly since the start of the current adjust interval it may be desirable for the system to preemptively adjust the bandwidth of the LSP and not wait until the end of the adjust interval.
The following parameters are defined:
When a sample interval ends it is counted as an overflow if:
If the bandwidth adjustment is successful then the adjust-interval, maximum average data rate and overflow count are all reset. If the bandwidth adjustment fails then the overflow count is reset but the adjust-interval and maximum average data rate continue with current values. It is possible that the overflow count will once again reach the configured limit before the end of adjust-interval is reached and this will once again trigger an immediate auto-bandwidth adjustment attempt.
The overflow configuration command fails if the max-bandwidth of the LSP has not been defined.
The threshold limit can be changed on an operational auto-bandwidth LSP at any time and the change should take effect at the end of the current sample interval (for example, if the user decreases the overflow limit to a value lower than the current overflow count then auto-bandwidth adjustment will take place as soon as the sample interval ends). The threshold values can also be changed at any time (for example, %_threshold and min_threshold) but the new values will not take effect until the end of the current sample interval.
Manually-triggered auto-bandwidth adjustment feature is configured with the tools>perform>router>mpls adjust-autobandwidth [lsp lsp-name [force [bandwidth mbps]]] command to attempt immediate auto-bandwidth adjustment for either one specific LSP or all active LSPs. If the LSP is not specified then the system assumes the command applies to all LSPs. If an LSP name is provided then the command applies to that specific LSP only and the optional force parameter (with or without a bandwidth) can be used.
If force is not specified (or the command is not LSP-specific) then measured_bw is compared to current_bw and bandwidth adjustment may or may not occur
If force is specified and a bandwidth is not provided then the threshold checking is bypassed but the min and max bandwidth constraints are still enforced.
If force is specified with a bandwidth (in Mb/s) then signaled_bw is set to this bandwidth. There is no requirement that the bandwidth entered as part of the command fall within the range of min-bandwidth to max-bandwidth.
The adjust-interval, maximum average data rate and overflow count are not reset by the manual auto-bandwidth command, whether or not the bandwidth adjustment succeeds or fails. The overflow count is reset only if the manual auto-bandwidth adjustment is successful.
SR OS supports carrying over of the operational bandwidth (for example, the last successfully signaled bandwidth) of an LSP path to the next active path following a switchover. The new active path can be a secondary or a primary path. The bandwidth is not lost even when the previously active path fails. The last successfully signaled bandwidth is known as the last adjusted bandwidth.
This feature is enabled using the configure router mpls lsp auto-bandwidth use-last-adj-bw command.
When enabled, secondary paths are initially signaled with the last adjusted bandwidth of the primary, and not the configured bandwidth. If signaling a secondary at this bandwidth fails after some number of retries, then the path fails rather than falling back to using the configured bandwidth. The number of retries of secondary paths at the last adjusted bandwidth is configured using the secondary-retry-limit command under use-last-adj-bw.
A shutdown of the primary or any configuration change events that cause a switch to a secondary, uses the last adjusted bandwidth. The user can toggle use-last-adj-bw at any time; this does not require an administrative shutdown of auto bandwidth, however, the new value is not used until the next path switchover.
| Note: The last adjusted bandwidth value is reset on a shutdown of MPLS, the LSP, or autobandwidth. |
If the revert timer is enabled, the primary is re-signaled before the revert timer expires with its configured bandwidth. An auto-bandwidth MBB using the last adjusted bandwidth of the secondary occurs immediately on switching back when the revert timer expires. If the system switches to a new path while an auto-bandwidth MBB is in progress on the previously active path, then the bandwidth used to signal the new path is the new value that was being attempted on the old path (rather than the last adjusted bandwidth). This means that the new path establishes with the most up to date bandwidth for the LSP (provided sufficient network resources are available) rather than a potentially out of date bandwidth.
Table 7 lists the MPLS LSP path failure codes and their meanings. These failure codes are indicated in the FailureCode output field of the show router mpls lsp path detail command, as well as in the TIMETRA MPLS MIB.
LSP Failure Code (Value) | Meaning |
noError (0) | Indicates no errors for this LSP. |
admissionControlError (1) | An RSVP admission control failure occurred at some point along the path of an LSP. This is recorded as a result of a PathErr message. |
noRouteToDestination (2) | No route could be found toward the requested destination. |
trafficControlSystemError (3) | An error in the traffic control system due to an unsupported traffic parameter, for example a bad FLOWSPEC, TSPEC or ADSPEC value. |
routingError (4) | There is a problem with the route defined for the LSP, for example the ERO is truncated. |
noResourcesAvailable (5) | Insufficient system or protocol resources are available to complete the request, for example, out of memory or out of resources such as NHLFE indexes or labels. This error code is also used for RSVP packet decode failures such as. bad object length or unknown sub-object. |
badNode (6) | Indicates a bad node in the path hop list at head-end or ERO at transit. |
routingLoop (7) | A routing loop was detected for the LSP path. |
labelAllocationError (8) | Unable to allocate a label for the LSP path. |
badL3PID (9) | The router has received a PathErr with the error code “Routing problem” and the error value “Unsupported L3PID.” This indicates that a downstream LSR does not support the protocol type “L3PID”. |
tunnelLocallyRepaired (10) | A PLR has triggered a local repair at some point along the path of the LSP. |
unknownObjectClass (11) | A downstream LSR rejected an RSVP message because it contained an Unknown object class - Error code 13 as defined in RFC 2205, Resource ReSerVation Protocol (RSVP) - Version 1 Functional Specification. |
unknownCType (12) | A downstream LSR rejected an RSVP message due to an Unknown object C-type - Error code 14 as defined in RFC 2205. |
noEgressMplsInterface (13) | An egress MPLS interface could not be found for the LSP path. |
noEgressRsvpInterface (14) | An egress RSVP interface could not be found for the LSP path. |
looseHopsInFRRLsp (15) | The path calculated for the FRR enabled LSP contains loose hops. |
unknown (16) | Indicates an error not covered by one of the other known errors for this LSP. |
retryExceeded (17) | The retry limit for the LSP path has been exceeded. |
noCspfRouteOwner (18) | No IGP instance was found that has a route to the LSP destination. |
noCspfRouteToDestination (19) | CSPF was unable to find a route to the requested destination that satisfies all of the constraints. |
hopLimitExceeded (20) | The hop-limit for the LSP path has been exceeded. |
looseHopsInManualBypassLsp (21) | A manual bypass LSP contains loose hops. |
emptyPathInManualBypassLsp (22) | A manual bypass LSP uses an empty path. |
lspFlowControlled (23) | The router initiated flow control for path messages for paths that have not yet been established. |
srlgSecondaryNotDisjoint (24) | The secondary path is not SRLG disjoint from the primary path. |
srlgPrimaryCspfDisabled (25) | An SRLG disjoint path could not be found for the secondary because CSPF is disabled on the primary. |
srlgPrimaryPathDown (26) | An SRLG disjoint path could not be found for the secondary because the primary is down. |
localLinkMaintenance (27) | A TE link (RSVP interface) local to this LSR or on a remote LSR used by the LSP is in TE graceful shutdown. The link that has been gracefully shutdown is also identified. |
unexpectedCtObject (28) | A downstream LSR does not recognize something about the content of the diffserv class type object. |
unsupportedCt (29) | A downstream LSR does not support the signaled Diffserv class type. |
invalidCt (30) | Indicates the signaled diffserv class type is invalid, for example it is 0. |
invCtAndSetupPri (31) | The combination of signaled Diffserv class type and setup priority does not map to a valid Diffserv TE class. |
invCtAndHoldPri (32) | The combination of signaled diffserv class type and hold priority does not map to a valid Diffserv TE class. |
invCtAndSetupAndHoldPri (33) | The combination of signaled Diffserv class type and setup priority and hold priority does not map to a valid Diffserv TE class. |
localNodeMaintenance (34) | The local LSR or a remote LSR used by the LSP is in TE graceful shutdown due to maintenance The LSR that s shutdown is also identified. |
softPreemption (35) | The LSP path is under soft pre-emption. |
p2mpNotSupported (36) | An LSR does not support P2MP LSPs. |
badXro (37) | An LSR for the LSP encountered a badly formed exclude route object, for example a sub-object is missing or unrecognized. |
localNodeInXro (38) | The Exclude Route Object includes the local node. |
routeBlockedByXro (39) | The Exclude Route Object prevents the LSP path from being established at all. |
xroTooComplex (40) | The Exclude Route Object contains too many entries or is too complex to calculate a path. If an SR OS router receives an XRO with more than 5 sub-objects then it will be rejected. |
rsvpNotSupported (41) | Maps to SubErrorCode 8 for ErrorCode 24 (Routing error) from RFC 3209. An LSR will send ErrorCode=24, SubErrorCode=8 when it receives PATH for P2MP LSP but P2MP is not supported on that router. |
conflictingAdminGroups (42) | The specified admin groups contradict for example the same group is both included and excluded. |
nodeInIgpOverload (43) | An LSR along the path of the LSP has advertised the ISIS overload state. |
srTunnelDown (44) | An SR tunnel is admin or operationally down. |
fibAddFailed (45) | An LSP path could not be added to the FIB for example if IOM programming fails for an SR-TE tunnel. |
labelStackExceeded (46) | The label stack depth for an SR-TE LSP exceeds the max-sr-labels. |
pccDown (47) | The PCC or the PCEP channel to the PCC is down. |
pccError (48) | An error has been received from the PCC related to this LSP. Such errors relate to processing requests, message objects, or TLVs. |
pceDown (49) | The Path Computation Element or PCEP channel is down. |
pceError (50) | An error has been received from the PCE related to this LSP. Such errors relate to processing requests, message objects, or TLVs. |
pceUpdateWithEmptyEro (51) | MPLS received an update from PCE with an empty ERO. |
pceInitLspDisabled (52) | The related config>router>mpls>pce-initiated-lsp context for this LSP type is disabled. |
adminDown (53) | A related MPLS path is disabled. |
srlgPathWithSidHops (59) | Configuration conflicts with the use of a path with hops consisting of SID labels. |
SR OS provides a wide range of capabilities for collecting statistics of labeled traffic. This section provides an overview of these capabilities.
By default, the system continuously collects statistics (packet and octet counts) of MPLS traffic on ingress and egress of MPLS interfaces. These statistics can be accessed, for example, using the show>router>mpls>interface statistics command.
In addition, the system can provide auxiliary statistics (packet and octet counts) for a specific type of labeled traffic on ingress and egress of MPLS interfaces. The config>router>mpls>aux-stats command accesses these statistics and also specifies which types of labeled traffic should be counted. The sr keyword refers to any type of MPLS-SR traffic (such as SR-OSPF, SR-ISIS, SR-TE). After being enabled and configured, auxiliary statistics can be viewed, monitored, and cleared. The two types of statistics (global or default MPLS statistics and auxiliary statistics) are independent; clearing one counter does not affect the values of the other counter.
For both types of statistics, implicit null on ingress is not regarded as labeled traffic and octet counts include L2 headers and trailers.
Segment Routing traffic statistics have a dependency with the ability to account for dark bandwidth in IGP-TE advertisements.
The nature of MPLS allows for LSPs, owned by a given protocol, to be tunneled into an LSP that is owned by another protocol. Typical examples of this capability are LDP over RSVP-TE, SR over RSVP-TE, and LDP over SR-TE. Also, in a variety of constructs (SR-TE LSPs, SR Policies) SR OS uses hierarchical NHLFEs where a single (top) NHLFE that models the forwarding actions towards the next hop, can be referenced by one or more (inner) NHLFEs that model the forwarding actions for the rest of the end-to-end path.
SR OS enables collecting the traffic statistics from the majority of all supported types of tunnels. In cases where statistics collection is enabled on multiple labels of the stack, SR OS provides the capability to collect traffic statistics on two labels of the MPLS stack. Any label needs to be processed (as part of ILM or NHLFE processing) for statistics to be collected. For example, a node acting as an LSR for an RSVP-TE LSP (that transports an LDP LSP) can collect statistics for the RSVP-TE LSP but does not collect stats for the LDP LSP. A node acting as an LER for that same RSVP-TE LSP is, however, able to collect statistics for the LDP LSP.
To control whether statistics are collected on one or two labels, use the following command:
configure>system>ip>mpls>label-stack-statistics-count label-stack-id
This command does not enable statistics collection. It only controls on how many labels, out of those that have statistics collection enabled, statistics collection is effectively performed.
If the MPLS label stack represents more than two stacked tunnels, the system collects statistics on the outermost (top) label for which statistics collection is enabled (if above value is 1 or 2), and collects statistics on the innermost (bottom) label for which statistics collection is enabled (if above value is 2).
For RSVP-TE and LDP, statistics are provided per forwarding class and as “in-profile” or “out-of-profile”. For all other labeled constructs, statistics are provided regardless of the forwarding class and the QoS profile. Altogether, labeled constructs share 128k statistic indices (on ingress and on egress independently). Statistics with FC and QoS profile consume 16 indices.
See RSVP-TE LSP Statistics, P2MP RSVP-TE LSP Statistics, MPLS Commands, and RSVP Commands for information about RSVP-TE and MPLS-TP traffic statistics.
See Statistics for more information about MPLS forwarding policy statistics.
Refer to “Traffic Statistics” in the 7450 ESS, 7750 SR, 7950 XRS, and VSR Router Configuration Guide for more information about gRPC-based RIB API statistics.
Refer to “Segment Routing Traffic Statistics” in the 7450 ESS, 7750 SR, 7950 XRS, and VSR Unicast Routing Protocols Guide for more information about segment routing statistics.
See SR-TE LSP Traffic Statistics for more information about SR-TE LSP statistics.
See Statically-Configured Segment Routing Policies for more information about SR policy statistics.
The Resource Reservation Protocol (RSVP) is a network control protocol used by a host to request specific qualities of service from the network for particular application data streams or flows. RSVP is also used by routers to deliver quality of service (QoS) requests to all nodes along the path(s) of the flows and to establish and maintain state to provide the requested service. RSVP requests generally result in resources reserved in each node along the data path. MPLS leverages this RSVP mechanism to set up traffic engineered LSPs. RSVP is not enabled by default and must be explicitly enabled.
RSVP requests resources for simplex flows. It requests resources only in one direction (unidirectional). Therefore, RSVP treats a sender as logically distinct from a receiver, although the same application process may act as both a sender and a receiver at the same time. Duplex flows require two LSPs, to carry traffic in each direction.
RSVP is not a routing protocol. RSVP operates with unicast and multicast routing protocols. Routing protocols determine where packets are forwarded. RSVP consults local routing tables to relay RSVP messages.
RSVP uses two message types to set up LSPs, PATH and RESV. Figure 5 depicts the process to establish an LSP.


Figure 6 displays an example of an LSP path set up using RSVP. The ingress label edge router (ILER 1) transmits an RSVP path message (path: 30.30.30.1) downstream to the egress label edge router (eLER 4). The path message contains a label request object that requests intermediate LSRs and the eLER to provide a label binding for this path.
In addition to the label request object, an RSVP PATH message can also contain a number of optional objects:
Upon receiving a path message containing a label request object, the eLER transmits a RESV message that contains a label object. The label object contains the label binding that the downstream LSR communicates to its upstream neighbor. The RESV message is sent upstream towards the ILER, in a direction opposite to that followed by the path message. Each LSR that processes the RESV message carrying a label object uses the received label for outgoing traffic associated with the specific LSP. When the RESV message arrives at the ingress LSR, the LSP is established.
Hosts and routers that support both MPLS and RSVP can associate labels with RSVP flows. When MPLS and RSVP are combined, the definition of a flow can be made more flexible. Once an LSP is established, the traffic through the path is defined by the label applied at the ingress node of the LSP. The mapping of label to traffic can be accomplished using a variety of criteria. The set of packets that are assigned the same label value by a specific node are considered to belong to the same FEC which defines the RSVP flow.
For use with MPLS, RSVP already has the resource reservation component built-in which makes it ideal to reserve resources for LSPs.
RSVP has been extended for MPLS to support automatic signaling of LSPs. To enhance the scalability, latency, and reliability of RSVP signaling, several extensions have been defined. Refresh messages are still transmitted but the volume of traffic, the amount of CPU utilization, and response latency are reduced while reliability is supported. None of these extensions result in backward compatibility problems with traditional RSVP implementations.
The Hello protocol detects the loss of a neighbor node or the reset of a neighbor’s RSVP state information. In standard RSVP, neighbor monitoring occurs as part of RSVP’s soft-state model. The reservation state is maintained as cached information that is first installed and then periodically refreshed by the ingress and egress LSRs. If the state is not refreshed within a specified time interval, the LSR discards the state because it assumes that either the neighbor node has been lost or its RSVP state information has been reset.
The Hello protocol extension is composed of a hello message, a hello request object and a hello ACK object. Hello processing between two neighbors supports independent selection of failure detection intervals. Each neighbor can automatically issue hello request objects. Each hello request object is answered by a hello ACK object.
When enabled on an RSVP interface, authentication of RSVP messages operates in both directions of the interface.
A node maintains a security association with its neighbors for each authentication key. The following items are stored in the context of this security association:
The RSVP sender transmits an authenticating digest of the RSVP message, computed using the shared authentication key and a keyed-hash algorithm. The message digest is included in an Integrity object which also contains a Flags field, a Key Identifier field, and a Sequence Number field. The RSVP sender complies to the procedures for RSVP message generation in RFC 2747, RSVP Cryptographic Authentication.
An RSVP receiver uses the key together with the authentication algorithm to process received RSVP messages.
When a PLR node switches the path of the LSP to a bypass LSP, it does not send the Integrity object in the RSVP messages over the bypass tunnel. If an integrity object is received from the MP node, then the message is discarded since there is no security association with the next-next-hop MP node.
The MD5 implementation does not support the authentication challenge procedures in RFC 2747.
The use of authentication mechanism is recommended to protect against malicious attack on the communications between routing protocol neighbors. These attacks could aim to either disrupt communications or to inject incorrect routing information into the systems routing table. The use of authentication keys can help to protect the routing protocols from these types of attacks.
Within RSVP, authentication must be explicitly configured through the use of the authentication keychain mechanism. This mechanism allows for the configuration of authentication keys and allows the keys to be changed without affecting the state of the protocol adjacencies.
To configure the use of an authentication keychain within RSVP, use the following steps:
For a key entry to be valid, it must include a valid key, the current system clock value must be within the begin and end time of the key entry, and the algorithm specified in the key entry must be supported by the RSVP protocol.
The RSVP protocol supports the following algorithms:
Error handling:
LSPs can be signaled with explicit reservation styles. A reservation style is a set of control options that specify a number of supported parameters. The style information is part of the LSP configuration. SR OS supports two reservation styles:
When a flood of signaling messages arrive because of topology changes in the network, signaling messages can be dropped which results in longer set up times for LSPs. RSVP message pacing controls the transmission rate for RSVP messages, allowing the messages to be sent in timed intervals. Pacing reduces the number of dropped messages that can occur from bursts of signaling messages in large networks.
The RSVP refresh reduction feature consists of the following capabilities implemented in accordance to RFC 2961, RSVP Refresh Overhead Reduction Extensions:
These capabilities can be enabled on a per-RSVP-interface basis are referred to collectively as “refresh overhead reduction extensions”. When the refresh-reduction is enabled on a system RSVP interface, the node indicates this to its peer by setting a refresh-reduction- capable bit in the flags field of the common RSVP header. If both peers of an RSVP interface set this bit, all the above three capabilities can be used. Furthermore, the node monitors the settings of this bit in received RSVP messages from the peer on the interface. As soon as this bit is cleared, the node stops sending summary refresh messages. If a peer did not set the “refresh-reduction-capable” bit, a node does not attempt to send summary refresh messages.
The RSVP Overhead Refresh Reduction is supported with both RSVP P2P LSP path and the S2L path of an RSVP P2MP LSP instance over the same RSVP interface.
The gr-helper command enables the RSVP Graceful Restart Helper feature.
The RSVP-TE Graceful Restart helper mode allows the SR OS based system (the helper node) to provide another router that has requested it (the restarting node) a grace period, during which the system will continue to use RSVP sessions to neighbors requesting the grace period. This is typically used when another router is rebooting its control plane but its forwarding plane is expected to continue to forward traffic based on the previously available Path and Resv states.
The user can enable Graceful Restart helper on each RSVP interface separately. When the GR helper feature is enabled on an RSVP interface, the node starts inserting a new Restart_Cap Object in the Hello packets to its neighbor. The restarting node does the same and indicates to the helper node the desired Restart Time and Recovery Time.
The GR Restart helper consists of a couple of phases. Once it loses Hello communication with its neighbor, the helper node enters the Restart phase. During this phase, it preserves the state of all RSVP sessions to its neighbor and waits for a new Hello message.
Once the Hello message is received indicating the restarting node preserved state, the helper node enters the recovery phase in which it starts refreshing all the sessions that were preserved. The restarting node will activate all the stale sessions that are refreshed by the helper node. Any Path state that did not get a Resv message from the restarting node once the Recovery Phase time is over is considered to have expired and is deleted by the helper node causing the proper Path Tear generation downstream.
The duration of the restart phase (recovery phase) is equal to the minimum of the neighbor’s advertised Restart Time (Recovery Time) in its last Hello message and the locally configured value of the max-restart (max-recovery) parameter.
When GR helper is enabled on an RSVP interface, its procedures apply to the state of both P2P and P2MP RSVP LSP to a neighbor over this interface.
The RSVP control plane makes use of a global flow control mechanism to adjust the rate of Path messages for unmapped LSP paths sent to the network under congestion conditions. When a Path message for establishing a new LSP path or retrying an LSP path that failed is sent out, the control plane keeps track of the rate of successful establishment of these paths and adjusts the number of Path messages it sends per second to reflect the success ratio.
In addition, an option to enable an exponential back-off retry-timer is available. When an LSP path establishment attempt fails, the path is put into retry procedures and a new attempt is performed at the expiry of the user-configurable retry-timer. By default, the retry time is constant. The exponential back-off timer procedures will double the value of the user configurable retry-timer value at every failure of the attempt to adjust to the potential network congestion that caused the failure. An LSP establishment fails if no Resv message was received and the Path message retry-timer expired, or a PathErr message was received before the timer expired.
Three enhancements to this flow-control mechanism to improve congestion handling in the rest of the network are supported.
The first enhancement is the change to the LSP path retry procedure. If the establishment attempt failed due to a Path message timeout and no Resv was received, the next attempt is performed at the expiry of a new LSP path initial retry-timer instead of the existing retry-timer. While the LSP path initial retry-timer is still running, a refresh of the Path message using the same path and the same LSP-id is performed according to the configuration of the refresh-timer. Once the LSP path initial retry-timer expires, the ingress LER then puts this path on the regular retry-timer to schedule the next path signaling using a new computed path by CSPF and a new LSP-id.
The benefits of this enhancement is that the user can now control how many refreshes of the pending PATH state can be performed before starting a new retry-cycle with a new LSP-id. This is all done without affecting the ability to react faster to failures of the LSP path, which will continue to be governed by the existing retry-timer. By configuring the LSP path initial retry-timer to values that are larger than the retry-timer, the ingress LER will decrease the probability of overwhelming a congested LSR with new state while the previous states installed by the same LSP are lingering and will only be removed after the refresh timeout period expires.
The second enhancement consists of applying a jitter +/- 25% to the value of the retry-timer similar to how it is currently done for the refresh timer. This will further decrease the probability that ingress LER nodes synchronize their sending of Path messages during the retry-procedure in response to a congestion event in the network.
The third enhances the RSVP flow control mechanism by taking into account new parameters: outstanding CSPF requests, Resv timeouts and Path timeouts.
BFD will notify RSVP-TE if the BFD session goes down, in addition to notifying other configured BFD enabled protocols (for example, OSPF, IS-IS, and PIM). This notification will then be used by RSVP-TE to begin the reconvergence process. This greatly accelerates the overall RSVP-TE response to network failures.
All encapsulation types supporting IPv4 and IPv6 are supported because all BFD packets are carried in IPv4 and IPv6 packets; this includes Frame Relay and ATM.
BFD is supported on the following interfaces:
The following interfaces are supported only on the 7750 SR and 7450 ESS:
This feature provides the following counters:
The counters are available for an RSVP LSP at the egress datapath of an ingress LER and at the ingress datapath of an egress LER. No LSR statistics are provided.
This feature provides the following counters for a RSVP P2MP LSP instance:
The above counters are provided for the following LSR roles:
The user can determine if packets are dropped for a given branch of a P2MP RSVP LSP by comparing the egress counters at the ingress LER with the ILM counters at the egress LER or BUD LSR.
Octet counters are for the entire frame and so include the label stack and the L2 header and padding similar to the existing P2P RSVP LSP and LDP FEC counters. As such, ingress and egress octet counters for an LSP may slightly differ if the type of interface or encapsulation is different (POS, Ethernet NULL, Ethernet Dot1.Q).
At ingress LER, the configuration of the egress statistics is under the MPLS P2MP LSP context when carrying multicast packets over a RSVP P2MP LSP in the base routing instance. This is the same configuration as the one already supported with P2P RSVP LSP.
If there are no stat indices available when the user performs the ‘no shutdown’ command for the egress statistics node, the command fails.
The configuration is in the P2MP LSP template when the RSVP P2MP LSP is used as an I-PMSI or S-PMSI in multicast VPN or in VPLS/B-VPLS.
If there are no stat indices available at the time an instance of the P2MP LSP template is signaled, no stats are allocated to the instance, but the LSP is brought up. In this case, an operational state of out-of-resources is shown for the egress stats in the show output of the P2MP LSP S2L path.
When the ingress LER signals the path of the S2L sub-LSP, it includes the name of the LSP and that of the path in the Session Name field of the Session Attribute object in the Path message. The encoding is as follows:
Session Name: lsp-name::path-name, where lsp-name component is encoded as follows:
The ingress statistics CLI configuration allows the user to match either on the exact name of the P2MP LSP as configured at the ingress LER or on a context which matches on the template name and the service-id as configured at the ingress LER.
When the matching is performed on a context, the user must enter the RSVP session name string in the format “templateName-svcId” to include the LSP template name as well as the mVPN VPLS/B-VPLS service ID as configured at the ingress LER. In this case, one or more P2MP LSP instances signaled by the same ingress LER could be associated with the ingress statistics configuration. In this case, the user is provided with CLI parameter max-stats to limit the maximum number of stat indices which can be assigned to this context. If the context matches more than this value, the additional request for stat indices from this context is rejected.
The rules when configuring an ingress statistics context based on template matching are the following:
If there are no stat indices available at the time the session of the P2MP LSP matching a template context is signaled and the session state installed by the egress LER, no stats are allocated to the session.
Furthermore, the assignment of stat indices to the LSP names that match the context will also be not deterministic. The latter is due to the fact that a stat index is assigned and released following the dynamics of the LSP creation or deletion by the ingress LER. For example, a multicast stream crosses the rate threshold and is moved to a newly signaled S-PMSI dedicated to this stream. Later on, the same steam crosses the threshold downwards and is moved back to the shared I-PMSI and the P2MP LSP corresponding to the S-PMSI is deleted by the ingress LER.
The implicit null label option allows a router egress LER to receive MPLS packets from the previous hop without the outer LSP label. The operation of the previous hop is referred to as penultimate hop popping (PHP).
This option is signaled by the egress LER to the previous hop during the LSP signaling with RSVP control protocol. In addition, the egress LER can be configured to receive MPLS packet with the implicit null label on a static LSP.
The user can configure your router to signal the implicit null label value over all RSVP interfaces and for all RSVP LSPs for which this node is the egress LER using the implicit-null-label command in the config>router>rsvp context.
The user must shut down RSVP before being able to change the implicit null configuration option.
The user can also override the RSVP level configuration for a specific RSVP interface:
config>router>rsvp>if>implicit-null-label {enable | disable}
All LSPs for which this node is the egress LER and for which the path message is received from the previous hop node over this RSVP interface will signal the implicit null label. This means that if the egress LER is also the merge-point (MP) node, then the incoming interface for the path refresh message over the bypass dictates if the packet will use the implicit null label or not; the same applies to a 1-to-1 detour LSP.
By default, an RSVP interface inherits the RSVP level configuration. The user must shut down the RSVP interface before being able to change the implicit null configuration option.
| Note: The RSVP interface must be shutdown regardless of whether the new value for the interface is the same or different than the one it is currently using. |
The egress LER does not signal the implicit null label value on P2MP RSVP LSPs. However, the PHP node can honor a Resv message with the label value set to the implicit null value when the egress LER is a third party implementation.
The implicit null label option is also supported on a static label LSP. The following commands can be used to cause the node to push or to swap to an implicit null label on the MPLS packet:
config>router>mpls>static-lsp>push implicit-null-label nexthop ip-address
config>router>mpls>if>label-map>swap implicit-null-label nexthop ip-address
This feature introduces the use of unnumbered IP interface as a Traffic Engineering (TE) link for the signaling of RSVP P2P LSP and P2MP LSP.
An unnumbered IP interface is identified uniquely on a router in the network by the tuple {router-id, ifIndex}. Each side of the link assigns a system-wide unique interface index to the unnumbered interface. ISIS, OSPF, RSVP, and OAM modules will use this tuple to advertise the link information, signal LSP paths over this unnumbered interface, or send and respond to an MPLS echo request message over an unnumbered interface.
The interface borrowed IP address is used exclusively as the source address for IP packets that are originated from the interface and needs to be configured to an address different from system interface for the FRR bypass LSP to come up at the ingress LER.
The borrowed IP address for an unnumbered interface is configured using the following CLI command with a default value set to the system interface address:
config>router>if>unnumbered [ip-int-name | ip-address]
The support of unnumbered TE link in IS-IS consists of adding a new sub-TLV of the extended IS reachability TLV, which encodes the Link Local and Link Remote Identifiers as defined in RFC 5307.
The support of unnumbered TE link in OSPF consists of adding a new sub-TLV, which encodes the same Link Local and Link Remote Identifiers in the Link TLV of the TE area opaque LSA and sends the local Identifier in the Link Local Identifier TLV in the TE link local opaque LSA as per RFC 4203.
The support of unnumbered TE link in RSVP implements the signaling of unnumbered interfaces in ERO/RRO as per RFC 3477 and the support of IF_ID RSVP_HOP object with a new Ctype as per Section 8.1.1 of RFC 3473. The IPv4 Next/Previous Hop Address field is set to the borrowed IP interface address.
The unnumbered IP is advertised by IS-IS TE and OSPF TE, and CSPF can include them in the computation of a path for a P2P LSP or for the S2L of a P2MP LSP. This feature does not, however, support defining an unnumbered interface a hop in the path definition of an LSP.
A router creates an RSVP neighbor over an unnumbered interface using the tuple {router-id, ifIndex}. The router-id of the router that advertised a given unnumbered interface index is obtained from the TE database. As a result, if TE is disabled in IS-IS or OSPF, a non-CSPF LSP with the next-hop for its path is over an unnumbered interface will not come up at the ingress LER since the router-id of the neighbor that has the next-hop of the path message cannot be looked up. In this case, the LSP path will remain in operationally down state with a reason noRouteToDestination. If a PATH message was received at the LSR in which TE was disabled and the next-hop for the LSP path is over an unnumbered interface, a PathErr message is sent back to the ingress LER with the Routing Problem error code of 24 and an error value of 5 “No route available toward destination”.
All MPLS features available for numbered IP interfaces are supported, with the exception of the following:
This feature also extends the support of lsp-ping, p2mp-lsp-ping, lsp-trace, and p2mp-lsptrace to P2P and P2MP LSPs that have unnumbered TE links in their path.
When the Point-of-Local Repair (PLR) node activates the bypass LSP by sending a PATH message to refresh the path state of protected LSP at the Merge-Point (MP) node, it must use an IPv4 tunnel sender address in the sender template object that is different than the one used by the ingress LER in the PATH message. These are the procedures specified in RFC 4090 that are followed in the SR OS implementation.
The router uses the address of the outgoing interface of the bypass LSP as the IPv4 tunnel sender address in the sender template object. This address is different from the system interface address used in the sender template of the protected LSP by the ingress LER and so, there are no conflicts when the ingress LER acts as a PLR.
When the PLR is the ingress LER node and the outgoing interface of the bypass LSP is unnumbered, it is required that the user assigns to the interface a borrowed IP address that is different from the system interface. If not, the bypass LSP will not come up.
In addition, the PLR node will include the IPv4 RSVP_HOP object (C-Type=1) or the IF_ID RSVP_HOP object (C-Type=3) in the PATH message if the outgoing interface of the bypass LSP is numbered or unnumbered respectively.
When the MP node receives the PATH message over the bypass LSP, it will create the merge-point context for the protected LSP and associate it with the existing state if any of the following is satisfied:
These procedures at PLR and MP nodes are followed in both link-protect and node-protect FRR. If the MP node is running a pre-Release 11.0 implementation, it will reject the new IF_ID C-Type and will drop the PATH over bypass. This will result in the protected LSP state expiring at the MP node, which will tear down the path. This is the case in general when node-protect FRR is enabled and the MP node does not support unnumbered RSVP interface.
MPLS can be used to provide a network layer to support packet transport services. In some operational environments, it is desirable that the operation and maintenance of such an MPLS based packet transport network follow operational models typical in traditional optical transport networks (for example, SONET/SDH), while providing additional OAM, survivability and other maintenance functions targeted at that environment.
MPLS-TP defines a profile of MPLS targeted at transport applications. This profile defines the specific MPLS characteristics and extensions required to meet transport requirements, while retaining compliance to the standard IETF MPLS architecture and label switching paradigm. The basic requirements are architecture for MPLS-TP are described by the IETF in RFC 5654, RFC 5921, and RFC 5960, in order to meet two objectives:
In order to meet these objectives, MPLS-TP has a number of high level characteristics:
The system supports MPLS-TP on LSPs and PWs with static labels. MPLS-TP is not supported on dynamically signaled LSPs and PWs. MPLS-TP is supported for Epipe, Apipe, and Cpipe VLLs, and Epipe spoke SDP termination on IES, VPRN and VPLS. Static PWs may use SDPs that use either static MPLS-TP LSPs or RSVP-TE LSPs.
The following MPLS-TP OAM and protection mechanisms, defined by the IETF, are supported:
The system can play the role of an LER and an LSR for static MPLS-TP LSPs, and a PE/T-PE and an S-PE for static MPLS-TP PWs. It can also act as a S-PE for MPLS-TP segments between an MPLS network that strictly follows the transport profile, and an MPLS network that supports both MPLS-TP and dynamic IP/MPLS.
Figure 7 shows a high level functional model for MPLS-TP in SR OS. LSP A and LSP B are the working and protect LSPs of an LSP tunnel. These are modeled as working and protect paths of an MPLS-TP LSP in SR OS. MPLS-TP OAM runs in-band on each path. 1:1 linear protection coordinates the working and protect paths, using a protection switching coordination protocol (PSC) that runs in-band on each path over a Generic Associated Channel (G-ACh) on each path. Each path can use either an IP numbered, IP unnumbered, or MPLS-TP unnumbered (that is, non-IP) interface.

All MPLS-TP LSPs are bidirectional co-routed, as detailed in RFC5654. That is, the forward and backward directions follow the same route (in terms of links and nodes) across the network. Both directions are set up, monitored and protected as a single entity. Therefore, both ingress and egress directions of the same LSP segment are associated at the LER and LSR and use the same interface (although this is not enforced by the system).
In the above model, an SDP can use one MPLS-TP LSP. This abstracts the underlying paths towards the overlying services, which are transported on pseudowires. Pseudowires are modeled as spoke SDPs and can also use MPLS-TP OAM. PWs with static labels may use SDPs that, in turn, use either signaled RSVP-TE LSPs or one static MPLS-TP LSP.
This section describes some example roles for the system in an MPLS-TP network.
The system may use MPLS TP LSPs, and PWs, to transport point to point virtual leased line services. The router may play the role of a terminating PE or switching PE for VLLs. Epipe, Apipe, and Cpipe VLLs are supported.
Figure 8 illustrates the use of the system as a T-PE for services in an MPLS-TP domain, and as a S-PE for services between an MPLS-TP domain and an IP/MPLS domain. Static PWs with MPLS-TP identifiers, originating in the MPLS-TP network, are transported over static MPLS-TP LSPs. These either terminate on a local SAP on the system, or are switched to another PW segment across the IP/MPLS network. The PW segment in the IP/MPLS network may have static labels or be signaled using T-LDP.

Figure 9 and Figure 10 illustrate the model for spoke SDP termination on VPLS and IES/VPRN services, respectively. Similar to the VLL case, the static MPLS-TP PW may terminate on an interface belonging to the service on the router at the border between the MPLS-TP and IP/MPLS networks, or be switched to another PW segment to be terminated on a remote PE.


The SR OS MPLS-TP LSR model is illustrated in MPLS-TP LSR. The system is able to swap a statically configured LSP label on an ingress path to a statically configured LSP label on an egress path. Bidirectional co-routed MPLS TP LSPs are supported by configuring the forward and reverse paths of the LSP to use the same ports on ingress and egress.

SR OS supports the configuration of MPLS-TP tunnels, which comprise a working and, optionally, a protect LSP. In SR OS, a tunnel is referred to as an LSP, while an MPLS-TP LSP is referred to as a path. It is then possible to bind an MPLS-TP tunnel to an SDP.
MPLS-TP LSPs (that is, paths) with static labels are supported. MPLS-TP is not supported for signaled LSPs.
Both bidirectional associated (where the forward and reverse directions of a bidirectional LSP are associated at a given LER, but may take different routes through the intervening network) and bidirectional co-routed (where the forward and reverse directions of the LSP are associated at each LSR, and take the same route through the network) are possible in MPLS-TP. However, only bidirectional co-routed LSPs are supported.
It is possible to configure MPLS-TP identifiers associated with the LSP, and MPLS-TP OAM parameters on each LSP of a tunnel. MPLS-TP protection is configured for a tunnel at the level of the protect path level. Both protection and OAM configuration is managed via templates, in order to simplify provisioning for large numbers of tunnels.
The router may play the role of either an LER or an LSR.
MPLS-TP is supported on PWs with static labels. The provisioning model supports RFC6370-style PW path identifiers for MPLS-TP PWs.
MPLS-TP PWs reuse the static PW provisioning model of previous SR OS releases. Including the use of the PW-switching key work to distinguish an S-PE. Therefore, the primary distinguishing feature for an MPLS-TP PW is the ability to configure MPLS-TP PW path identifiers, and to support MPLS-TP OAM and static PW status signaling.
The system can perform the role of a T-PE or an S-PE for a PW with MPLS-TP.
A spoke SDP with static PW labels and MPLS-TP identifiers and OAM capabilities can use an SDP that uses either an MPLS-TP tunnel, or that uses regular RSVP-TE LSPs. The control word is supported for all MPLS-TP PWs.
MPLS-TP is designed for use both with, and without, a control plane. MPLS-TP therefore specifies a set of identifiers that can be used for objects in either environment. This includes a path and maintenance identifier architecture comprising Node, Interface, PW and LSP identifiers, Maintenance Entity Groups (MEGs), Maintenance End Points (MEPs) and Maintenance Intermediate Points (MIPs). These identifiers are specified in RFC6370.
MPLS-TP OAM and protection switching operates within a framework that is designed to be similar to existing transport network maintenance architectures. MPLS-TP introduces concept of maintenance domains to be managed and monitored. In these, Maintenance Entity Group End Points (MEPs) are edges of a maintenance domain. OAM of a maintenance level must not leak beyond corresponding MEP and so MEPs typically reside at the end points of LSPs and PWs. Maintenance Intermediate Points (MIPS) define intermediate nodes to be monitored. Maintenance Entity Groups (MEGs) comprise all the MEPs and MIPs on an LSP or PW.

Both IP-compatible and ICC (ITU-T carrier code) based identifiers for the above objects are specified in the IETF, but only the IP-compatible identifiers defined in RFC6370 are supported.
SR OS supports the configuration of the following node and interface related identifiers:
Statically configured LSPs are identified using GMPLS-compatible identifiers with the addition of a Tunnel_Num and LSP_Num. As in RSVP-TE, tunnels represent, for example, a set of working and protect LSPs. These are GMPLS-compatible because GMPLS chosen by the IETF as the control plane for MPLS-TP LSPs, although this is not supported in Release 11.0 of the software. PWs are identified using a PW Path ID which has the same structure as FEC129 AII Type 2.
SR OS derives the identifiers for MEPs and MIPs on LSPs and PWs based on the configured identifiers for the MPLS-TP Tunnel, LSP or PW Path ID, for use in MPLS-TP OAM and protection switching, as per RFC6370.
The information models for LSPs and PWs are illustrated in Figure 13 and Figure 14. The figures use the terminology defined in RFC6370.

The MPLS-TP Tunnel ID and LSP ID are not to be confused with the RSVP-TE tunnel id implemented on the router system. Table 8 shows how these map to the X and Y ends of the tunnel shown in Figure 13 for the case of co-routed bidirectional LSPs.
RSVP-TE Identifier | MPLS-TP Maintenance Identifier |
Tunnel Endpoint Address | Node ID (Y) |
Tunnel ID (X) | Tunnel Num (X) |
Extended Tunnel ID | Node ID (X) |
Tunnel Sender Address | Node ID (X) |
LSP ID | LSP Num |

In the PW information model shown in Figure 14, the MS-PW is identified by the PW Path ID that is composed of the full AGI:SAII:TAII. The PW Path ID is also the MEP ID at the T-PEs, so a user does not have to explicitly configure a MEP ID; it is automatically derived by the system. For MPLS-TP PWs with static labels, although the PW is not signaled end-to-end, the directionality of the SAII and TAII is taken to be the same as for the equivalent label mapping message that is from downstream to upstream. This is to maintain consistency with signaled pseudowires using FEC 129.
On the system, an S-PE for an MS-PW with static labels is configured as a pair of spoke SDPs bound together in an VLL service using the VC-switching command. Therefore, the PW Path ID configured at the spoke SDP level at an S-PE must contain the Global-ID, Node-ID and AC-ID at the far end T-PEs, not the local S-PE. The ordering of the SAII:TAII in the PW Path ID where static PWs are used should be consistent with the direction of signaling of the egress label to a spoke SDP forming that segment, if that label were signaled using T-LDP (in downstream unsolicited mode). VCCV Ping will check the PW ID in the VCCV Ping echo request message against the configured PW Path ID for the egress PW segment.
Figure 15 shows an example of how the PW Path IDs can be configured for a simple two-segment MS-PW.

MPLS-TP requires that all OAM traffic be carried in-band on both directions of an LSP or PW. This is to ensure that OAM traffic always shares fate with user data traffic. This is achieved by using an associated control channel on an LSP or PW, similar to that used today on PWs. This creates a channel, which is used for OAM, protection switching protocols (for example, LSP linear protection switching coordination), and other maintenance traffic., and is known as the Generic Associated Channel (G-ACh).
RFC5586 specifies mechanisms for implementing the G-ACh, relying on the combination of a reserved MPLS label, the Generic-ACH Label (GAL), as an alert mechanism (value=13) and Generic Associated Channel Header (G-ACH) for MPLS LSPs, and using the Generic Associated Channel Header, only, for MPLS PWs (although the GAL is allowed on PWs). The purpose of the GAL is to indicate that a G-ACH resides at the bottom of the label stack, and is only visible when the bottom non-reserved label is popped. The G-ACH channel type is used to indicate the packet type carried on the G-ACh. Packets on a G-ACh are targeted to a node containing a MEP by ensuring that the GAL is pushed immediately below the label that is popped at the MEP (for example, LSP endpoint or PW endpoint), so that it can be inspected as soon as the label is popped. A G-ACh packet is targeted to a node containing a MIP by setting the TTL of the LSP or PW label, as applicable, so that it expires at that node, in a similar manner to the SR OS implementation of VCCV for MS-PWs.

The system supports the G-ACh on static pseudowires and static LSPs.
This section details the MPLS-TP OAM mechanisms that are supported.
MPLS–TP supports mechanisms for on demand CC/CV as well as route tracing for LSPs and PWs. These are required to enable an operator to test the initial configuration of a transport path, or to assist with fault isolation and diagnosis. On demand CC/CV and route tracing for MPLS-TP is based on LSP-Ping and is described in RFC6426. Three possible encapsulations are specified in that RFC:
In IP-encapsulation, LSP-Ping packets are sent over the MPLS LSP for which OAM is being performed and contain an IP/UDP packet within them. The On-demand CV echo response message is sent on the reverse path of the LSP, and the reply contains IP/UDP headers followed by the On-demand CV payload.
In non-IP environments, LSP ping can be encapsulated with no IP/UDP headers in a G-ACh and use a source address TLV to identify the source node, using forward and reverse LSP or PW associated channels on the same LSP or PW for the echo request and reply packets. In this case, no IP/UDP headers are included in the LSP-Ping packets.
The routers support the following encapsulations:
LSP Ping and VCCV Ping for MPLS-TP use two new FEC sub-types in the target FEC stack in order to identify the static LSP or static PW being checked. These are the Static LSP FEC sub-type, which has the same format as the LSP identifier described above, and the Static PW FEC sub-type,. These are used in-place of the currently defined target FEC stack sub-TLVs.
In addition, MPLS-TP uses a source/destination TLV to carry the MPLS-TP global-id and node-id of the target node for the LSP ping packet, and the source node of the LSP ping packet.
LSP Ping and VCCV-Ping for MPLS-TP can only be launched by the LER or T-PE. The replying node therefore sets the TTL of the LSP label or PW label in the reply packet to 255 to ensure that it reaches the node that launched the LSP ping or VCCV Ping request.
Downstream Mapping Support
RFC 8029 specifies four address types for the downstream mapping TLV for use with IP numbered and unnumbered interfaces, as listed in Table 9:
Type # | Address Type | K Octets | Reference |
1 | IPv4 Numbered | 16 | RFC 8029 |
2 | IPv4 Unnumbered | 16 | |
3 | IPv6 Numbered | 40 | |
4 | IPv6 Unnumbered | 28 |
RFC 6426 adds address type 5 for use with Non IP interfaces, including MPLS-TP interfaces. In addition, this RFC specifies that type 5 must be used when non-IP ACH encapsulation is used for LSP Trace.
It is possible to send and respond to a DSMAP/DDMAP TLV in the LSP Trace packet for numbered IP interfaces as per RFC8029. In this case, the echo request message contains a downstream mapping TLV with address type 1 (IPv4 address) and the IPv4 address in the DDMAP/DSMAP TLV is taken to be the IP address of the IP interface that the LSP uses. The LSP trace packet therefore contains a DSMAP TLV in addition to the MPLS-TP static LSP TLV in the target FEC stack.
DSMAP/DDMAP is not supported for pseudo wires.
Proactive Continuity Check (CC) is used to detect a loss of continuity defect (LOC) between two MEPs in a MEG. Proactive Connectivity Verification (CV) is used to detect an unexpected connectivity defect between two MEPs (for example, mis-merging or mis-connection), as well as unexpected connectivity within the MEG with an unexpected MEP. This feature implements both functions using proactive generation of OAM packets by the source MEP that are processed by the peer sink MEP. CC and CV packets are always sent in-band such that they fate share with user traffic, either on an LSP, PW or section and are used to trigger protection switching mechanisms.
Proactive CC/CV based on bidirectional forwarding detection (BFD) for MPLS-TP is described in RFC6428. BFD packets are sent using operator configurable timers and encapsulated without UDP/IP headers on a standardized G-ACh channel on an LSP or PW. CC packets simply consist of a BFD control packet, while CV packets also include an identifier for the source MEP in order that the sink MEP can detect if it is receiving packets from an incorrect peer MEP, indicating a mis-connectivity defect. Other defect types (including period mis-configuration defect) should be supported. When a supported defect is detected, an appropriate alarm is generated (for example, log, SNMP trap) at the receiving MEP and all traffic on the associated transport path (LSP or PW) is blocked. This is achieved using linear protection for CC defects, and by blocking the ingress data path for CV defects. The system supports both a CC-only mode and a combine CC/CV mode, as defined in RFC6428.
When an LSP with CV is first configured, the LSP is held in the CV defect state for 3.5 seconds after the first valid CV packet is received.


Linear protection switching of LSPs (see below) is triggered based on a CC or CV defect detected by BFD CC/CV.
RFC6428 defines two BFD session modes: Coordinated mode, in which the session state on both directions of the LSP is coordinated and constructed from a single, bidirectional BFD session, and independent mode, in which two independent sessions are bound together at a MEP. Coordinated mode is supported.
BFD is supported on MPLS-TP LSPs. When BFD_CV detects a mis-connectivity on an LSP, the system will drop all incoming non-OAM traffic with the LSP label (at the LSP termination point) instead of forwarding it to the associated SAP or PW segment.
The following GACh channel types are supported for the combined CC/CV mode:
The following G-ACh channel types are used for the CC-only mode:
RDI provides a mechanism whereby the source MEP can be informed of a downstream failure on an LSP, and can either raise an alarm, or initiate a protection switching operation. In the case of BFD based CC/CV, RDI is communicated using the BFD diagnostic field in BFD CC/CV messages. The following diagnostic codes are supported:
1 - Control Detection Time Expired
9 - mis-connectivity defect
MPLS-TP introduces the ability to support a full range of OAM and protection / redundancy on PWs for which no dynamic T-LDP control plane exists. Static PW status signaling is used to advertise the status of a PW with statically configured labels by encapsulating the PW status TLV in a G-ACh on the PW. This mechanism enables OAM message mapping and PW redundancy for such PWs, as defined in RFC6478. This mechanism is known as control channel status signaling in SR OS.
PW control channel status notifications use a similar model to T-LDP status signaling. That is, in general, status is always sent to the nearest neighbor T-PE or S-PE and relayed to the next segment by the S-PE. To achieve this, the PW label TTL is set to 1 for the G-ACh packet containing the status message.
Control channel status notifications are disabled by default on a spoke SDP. If they are enabled, then the default refresh interval is set to zero (although this value should be configurable in CLI). That is, when a status bit changes, three control channel status packets are sent consecutively at one-second intervals, and then the transmitter will fall silent. If the refresh timer interval is non-zero, then status messages will continue to be sent at that interval. The system supports the configuration of a refresh timer of 0, or from 10-65535 seconds. The recommended value is 600 seconds.
The system supports the optional acknowledgment of a PW control channel status message.
In order to constrain the CPU resources consumed processing control channel status messages, the system implements a credit-based mechanism. If a user enables control channel status on a PW[n], then a certain number of credits c_n are consumed from a CPM-wide pool of max_credit credits. The number of credits consumed is inversely proportional to the configured refresh timer (the first three messages at 1 second interval do not count against the credit). If the current_credit <= 0, then control channel status signaling cannot be configured on a PW (but the PW can still be configured and no shutdown).
If a PE with a non-zero refresh timer configured does not receive control channel status refresh messages for 3.5 time the specified timer value, then by default it will time out and assume a PW status of zero.
A trap is generated if the refresh timer times-out.
If PW redundancy is configured, the system will always consider the literal value of the PW status; a time-out of the refresh timer will not impact the choice of the active transit object for the VLL service. The result of this is that if the refresh timer times-out, and a given PW is currently the active PW, then the system will not fail-over to an alternative PW if the status is zero and some lower-layer OAM mechanism; for example, BFD has not brought down the LSP due to a connectivity defect. It is recommended that the PW refresh timer be configured with a much longer interval than any proactive OAM on the LSP tunnel, so that the tunnel can be brought down before the refresh timer expires if there is a CC defect.
A unidirectional continuity fault on a RSVP TE LSP may not result in the LSP being brought down before the received PW status refresh timer expires. It is therefore recommended that either bidirectional static MPLS-TP LSPs with BFD CC, or additional protection mechanisms; for example, FRR be used on RSVP-TE LSPs carrying MPLS-TP PWs. This is particularly important in active/standby PW dual homing configurations, where the active / standby forwarding state or operational state of every PW in the redundancy set must be accurately reflected at the redundant PE side of the configuration.
A PW with a refresh timer value of zero is always treated as having not expired.
The system implements a hold-down timer for control-channel-status PW-status bits in order to suppress bouncing of the status of a PW. For a specific spoke SDP, if the system receives 10 PW-status change events in 10 seconds, the system will hold-down the spoke SDP on the local node with the last received non-zero PW-status bits for 20 seconds. It will update the local spoke with the most recently received PW-status. This hold down timer is not persistent across shutdown/no-shutdown events.
The system implements an optional PW control channel status request mechanism. This enhances the existing control channel status mechanism so that a peer that has stale PW status for the far-end of a PW can request that the peer PE send a static PW status update. Accurate and current information about the far end status of a PW is important for proper operation of PW redundancy. This mechanism ensures a consistent view of the control plane is maintained, as far as possible, between peer nodes. It is not intended to act as a continuity check between peer nodes.
PW redundancy is supported for static MPLS-TP pseudowires. However, instead of using T-LDP status signaling to signal the forwarding state of a PW, control channel status signaling is used.
The following PW redundancy scenarios must be supported:
Active/standby dual-homing into routed VPLS is not supported in for MPLS-TP PWs. This is because it relies on PW label withdrawal of the standby PW in order to take down the VPLS instance, and hence the associated IP interface. Instead, it is possible to enable BGP multi-homing on a routed VPLS that has MPLS-TP PWs as spokes, and for the PW status of each spoke SDP to be driven (using control channel status) from the active or standby forwarding state assigned to each PW by BGP.
It is possible to configure inter-chassis backup (ICB) PWs as static MPLS-TP PWs with MPLS-TP identifiers. Only MPLS-TP PWs are supported in the same endpoint. That is, PWs in an endpoint must either be all MPLS-TP, or none of them must be MPLS-TP. This implies that an ICB used in an endpoint for which other PWs are MPLS TP must also be configured as an MPLS-TP PW.
A failover to a standby pseudowire is initiated based on the existing supported methods (for example, failure of the SDP).
On the 7750 SR and 7450 ESS, the MPLS-TP supports lock instruct and loopback for PWs, including the ability to:
MPLS-TP provides the ability to conduct test service throughput for PWs, through the configuration of a loopback on an administratively locked pseudowire. To conduct a service throughput test, an administrative lock is applied at each end of the PW. A test service that contains the SAP connected to the external device is used to inject test traffic into the PW. Lock request messaging is not supported.
A lock can be applied using the CLI or NMS. The forwarding state of the PW can be either active or standby.
After the PW is locked it can be put into loopback mode (for two way tests) so the ingress data path in the forward direction is cross connected to the egress data path in the reverse direction of the PW. The loopback can be configured through the CLI or NMS.
The PW loopback is created at the PW level, so everything under the PW label is looped back. This distinguishes a PW loopback from a service loopback, where only the native service packets are looped back.
The following MPLS-TP loopback configuration is supported:
For more information about configuring lock instruct and loopback for MPLS-TP Pseudowires see, the 7450 ESS, 7750 SR, 7950 XRS, and VSR Services Overview Guide and the 7450 ESS, 7750 SR, 7950 XRS, and VSR Layer 2 Services and EVPN Guide: VLL, VPLS, PBB, and EVPN.
Linear 1-for-1 protection of MPLS-TP LSPs is supported, as defined in RFC. This applies only to LSPs (not PWs).
This is supported edge-to-edge on an LSP, between two LERs, where normal traffic is transported either on the working LSP or on the protection LSP using a logical selector bridge at the source of the protected LSP.
At the sink LER of the protected LSP, the LSP that carries the normal traffic is selected, and that LSP becomes the working LSP. A protection switching coordination (PSC) protocol coordinates between the source and sink bridge, which LSP is used, as working path and protection path. The PSC protocol is always carried on a G-ACh on the protection LSP.
The system supports single-phased coordination between the LSP endpoints, in which the initiating LER performs the protection switchover to the alternate path and informs the far-end LER of the switch.
Bidirectional protection switching is achieved by the PSC protocol coordinating between the two end points to determine which of the two possible paths (that is the working or protect path), transmits user traffic at any given time.
It is possible to configure non-revertive or revertive behavior. For non-revertive, the LSP will not switch back to the working path when the PSC switchover requests end, while for revertive configurations, the LSP always returns back to the working path when the switchover requests end.
The following figures illustrate the behavior of linear protection in more detail.


In normal condition, user data packets are sent on the working path on both directions, from A to Z and Z to A.
A defect in the direction of transmission from node Z to node A impacts the working connection Z-to-A, and initiates the detection of a defect at the node A.


The unidirectional PSC protocol initiates protection switching: the selector bridge at node A is switched to protection connection A-to-Z and the selector at node A switches to protection connection Z to-A. The PSC packet, sent from node A to node Z, requests a protection switch to node Z.
After node Z validates the priority of the protection switch request, the selector at node Z is switched to protection connection A-to-Z and the selector bridge at the node Z is switched to protection connection Z-to-A. The PSC packet, sent from node Z to node A, is used as acknowledge, informing node A about the switching.
If BFD CC or CC/CV OAM packets are used to detect defects on the working and protection paths, they are inserted on both working and protection paths. Packets are sent whether or not the path is selected as the currently active path. Linear protection switching is also triggered on receipt of an AIS with the LDI bit set.
The following operator commands are supported:
When a MEP at a server layer (such as a link layer with respect to a given LSP) detects a failure, the server MEP notifies a co-located client layer of the condition. The client layer then generates Alarm Indication Signal (AIS) packets downstream in the client layer. These fault OAM messages are generated by intermediate nodes where a client LSP is switched, as per RFC 6427. This means that AIS packets are only inserted at an LSP MIP. AIS is used by the receiving MEP to suppress client layer traps caused by the upstream server layer failure; for example, if BFD CC is running on the LSP, then AIS will suppress the generation of multiple traps due to loss of CC.
Figure 23 illustrates an example of the operation of AIS in MPLS-TP.

In the example, a failure of the Ethernet link layer between PE1 and LSR1 is detected at LSR1, which raises a local trap. LSPs transiting the LSR may be running CC OAM, such as BFD, and have AIS packets injected into them at LSR1. These AIS messages are received by the corresponding downstream MEP and processed. The failure of the Ethernet link between PE1 and LSR1 means that CC OAM on the LSPs is not received by the MEPs at PE2. Normally, this would cause multiple traps to be raised at PE2, but the reception of AIS causes PE2 to suppress the local generation of traps related to the failed LSP.
For traps to be suppressed successfully, the AIS message must arrive and be processed at the far-end PE or LER in sufficient time for the initial alarm to be suppressed. Therefore, the router implements a 2.5 secs hold-down timer for such traps on MPLS-TP LSPs.
Fault management for MPLS-TP, including AIS, is specified in RFC 6427.
The router supports:
This section describes the steps required to configure MPLS-TP.
The following steps must be performed in order to configure MPLS-TP LSPs or PWs.
At the router LER and LSR:
At the router LER, configure:
At an LSR, a use must configure an LSP transit-path under config>router>mpls>mpls-tp>transit-path.
The following sections describe these configuration steps in more detail.
Generic MPLS-TP parameters are configured under config>router>mpls>mpls-tp. If a user configures no mpls, normally the entire MPLS configuration is deleted. However, in the case of MPLS-TP a check that there is no other MPLS-TP configuration; for example, services or tunnels using MPLS-TP on the node, is performed.
The MPLS-TP context is configured as follows:
MPLS-TP LSPs may be configured if the MPLS-TP context is administratively down (shutdown), but they will remain down until the MPLS-TP context is configured as administratively up. No programming of the data path for an MPLS-TP path occurs until the following are all true:
A shutdown of MPLS-TP will therefore bring down all MPLS-TP LSPs on the system.
The MPLS-TP context cannot be deleted if MPLS-TP LSPs or SDPs exist on the system.
MPLS-TP identifiers are configured for a node under the following CLI tree:
The default value for the global-id is 0. This is used if the global-id is not explicitly configured. If a user expects that inter domain LSPs are configured, then it is recommended that the global ID should be set to the local ASN of the node, as configured under config>system. If two-byte ASNs are used, then the most significant two bytes of the global-id are padded with zeros.
The default value of the node-id is the system interface IPv4 address. The MPLS-TP context cannot be administratively enabled unless at least a system interface IPv4 address is configured because MPLS requires that this value is configured.
These values are used unless overridden at the LSP or PW end-points, and apply only to static MPLS-TP LSPs and PWs.
In order to change the values, config>router>mpls>mpls-tp must be in the shutdown state. This will bring down all of the MPLS-TP LSPs on the node. New values are propagated to the system when a no shutdown is performed.
The SR OS reserves a range of labels for use by static LSPs, and a range of labels for use by static pseudowires (SVCs) that is LSPs and pseudowires with no dynamic signaling of the label mapping. These are configured as follows:
<number>: indicates the maximum number of labels for the label type.
The minimum label value for the static LSP label starts at 32 and expands all the way to the maximum number specified. The static VC label range is contiguous with this. The dynamic label range exists above the static VC label range (the label ranges for the respective label type are contiguous). This prevents fragmentation of the label range.
The MPLS-TP tunnel ID range is configured as follows:
The tunnel ID range referred to here is a contiguous range of RSVP-TE Tunnel IDs is reserved for use by MPLS TP, and these IDs map to the MPLS-TP Tunnel Numbers. There are some cases where the dynamic LSPs may have caused fragmentation to the number space such that contiguous range {max-min} is not available. In these cases, the command will fail.
There is no default value for the tunnel id range, and it must be configured to enable MPLS-TP.
If a configuration of the tunnel ID range fails, then the system will give a reason. This could be that the initially requested range, or the change to the allocated range, is not available that is tunnel IDs in that range have already been allocated by RSVP-TE. Allocated Tunnel IDs are visible using a show command.
Changing the LSP or static VC label ranges does not require a reboot.
The static label ranges for LSPs, above, apply only to static LSPs configured using the CLI tree for MPLS-TP specified in this section. Different scalability constraints apply to static LSPs configured using the following CLI introduced in earlier SR OS releases:
config>router>mpls>static-lsp
config>router>mpls>if>label-map
The scalability applying to labels configured using this CLI is enforced as follows:
These two limits are independent of one another, giving a combined limit of 1000 PUSH and 1000 POP/SAP operations configured on a node.
The static LSP and VC label spaces are contiguous. Therefore, the dimensioning of these label spaces requires careful planning by an operator as increasing the static LSP label space impacts the start of the static VC label space, which may already-deployed
It is possible for MPLS-TP paths to use both numbered IP numbered interfaces that use ARP/static ARP, or IP unnumbered interfaces. MPLS-TP requires no changes to these interfaces. It is also possible to use a new type of interface that does not require any IP addressing or next-hop resolution.
RFC 7213 provides guidelines for the usage of various Layer 2 next-hop resolution mechanisms with MPLS-TP. If protocols such as ARP are supported, then they should be used. However, in the case where no dynamic next hop resolution protocol is used, it should be possible to configure a unicast, multicast or broadcast next-hop MAC address. The rationale is to minimize the amount of configuration required for upstream nodes when downstream interfaces are changes. A default multicast MAC address for use by MPLS-TP point-to-point LSPs has been assigned by IANA (Value: 01-00-5e-90-00-00). This value is configurable on the router to support interoperability with third-party implementations that do not default to this value, and this no default value is implemented on the router.
In order to support these requirements, a new interface type, known as an unnumbered MPLS-TP interface is introduced. This is an unnumbered interface that allows a broadcast or multicast destination MAC address to be configured. An unnumbered MPLS-TP interface is configured using the unnumbered-mpls-tp keyword, as follows:
The remote-mac-address may be any unicast, broadcast of multicast address. However, a broadcast or multicast remote-mac-address is only allowed in the static-arp command on Ethernet unnumbered interfaces when the unnumbered-mpls-tp keyword has been configured. This also allows the interface to accept packets on a broadcast or any multicast MAC address. If a packet is received with a unicast destination MAC address, then it is checked against the configured <local-mac-address> for the interface, and dropped if it does not match. When an interface is of type unnumbered-mpls-tp, only MPLS-TP LSPs are allowed on that interface; other protocols are blocked from using the interface.
An unnumbered MPLS-TP interface is assumed to be point-to-point, and therefore users must ensure that the associated link is not broadcast or multicast in nature if a multicast or broadcast remote MAC address is configured.
The following is a summary of the constraints of an unnumbered MPLS-TP interface:
MPLS-TP is only supported over Ethernet ports. The system will block the association of an MPLS-TP LSP to an interface whose port is non-Ethernet.
If required, the IF_Num is configured under a MEP context under the MPLS interface. The mpls-tp-mep context is created under the interface as shown below. The if-num parameter, when concatenated with the Node ID, forms the IF_ID (as per RFC 6370), which is the identifier of this MEP. It is possible to configure this context whether the interface is IP numbered, IP unnumbered, or MPLS-TP unnumbered:
The if-num-validation command is used to enable or disable validation of the if-num in LSP Trace packet against the locally configured if-num for the interface over which the LSP Trace packet was received at the egress LER. This is because some implementations do not perform interface validation for unnumbered MPLS-TP interfaces and instead set the if-num in the DSMAP TLV to 0. The default is enabled.
AIS insertion is configured using the ais-enable command under the mpls-tp-mep context on an MPLS interface.
MPLS-TP tunnels are configured using the mpls-tp LSP type at an LER under the LSP configuration, using the following CLI tree:
<if-name> could be numbered or unnumbered interface using an Ethernet port.
<src-tunnel-num> is a mandatory create time parameter for mpls-tp tunnels, and has to be assigned by the user based on the configured range of tunnel ids. The src-global-id used for the LSP ID is derived from the node-wide global-id value configured under config>router>mpls>mpls-tp. A tunnel can not be brought up unless the global-id is configured.
The from address of an LSP to be used in the tunnel identifier is taken to be the local node’s node-id/global-id, as configured under config>router>mpls>mpls-tp. If that is not explicitly configured, either, then the default value of the system interface IPv4 address is used
The to node-id address may be entered in 4-octet IPv4 address format or unsigned 32-bit format. This is the far-end node-id for the LSP, and does do need to be routable IP addresses.
The from and to addresses are used as the from and to node-id in the MPLS-TP Tunnel Identifier used for the MEP ID.
Each LSP consists of a working-tp-path and, optionally, a protect-tp-path. The protect-tp-path provides protection for the working-tp-path is 1:1 linear protection is configured (see below). Proactive OAM, such as BFD, is configured under the MEP context of each path. Protection for the LSP is configured under the protect-tp-path MEP context.
The to global-id is an optional parameter. If it is not entered, then the destination global ID takes the default value of 0. Global ID values of 0 are allowed and indicate that the node’s configured Global ID should be used. If the local global ID value is 0, then the remote to global ID must also be 0. The to global ID value cannot be changed if an LSP is in use by an SDP.
The to tunnel number is an optional parameter. If it is not entered, then it is taken to be the same value as the source tunnel number.
LSPs are assumed to be bidirectional and co-routed. Therefore, the system will assume that the incoming interface is the same as the out-link.
The next-hop ip-address can only be configured if the out-link if-name refers to a numbered IP interface. In this case, the system will determine the interface to use to reach the configured next-hop, but will check that the user-entered value for the out-link corresponds to the link returned by the system. If they do not correspond, then the path will not come up. If a user changes the physical port referred to in the interface configuration, BFD—if configured on the LSP—will go down. Users must ensure that an LSP is moved to a different interface with a different port configuration in order to change the port that it uses. This is enforced by blocking the next-hop configuration for an unnumbered interface.
There is no check made that a valid ARP entry exists before allowing a path to be un shut. Therefore, a path is only held down if BFD is down. If static ARP is not configured for the interface, then it is assumed that dynamic ARP is used. The result is that if BFD is not configured, a path can come up before ARP resolution has completed for an interface. If BFD is not used, then it is recommended that the connectivity of the path is explicitly checked using on-demand CC/CV prior to sending user traffic on it.
The following is a list of additional considerations for the configuration of MPLS-TP LSPs and paths:
The protection template is associated with an LSP as a part of the MEP on the protect path. If only a working path is configured, then the protection template is not configured.
BFD cannot be enabled under the MEP context unless a named BFD template is configured.
In order to validate the downstream mapping for an LSP, a node sending a DSMAP TLV must include the incoming and (optionally) outgoing IF_Num values for the interfaces that it expects the LSP to transit. Additionally, it will include the out-label for the LSP in the Label TLV for the DSMAP in the echo request message.
The incoming and outgoing if-num values correspond to the incoming and outgoing interfaces transited by an LSP at the next hop LER and LSR are configured using the dsmap command, as follows:
A node sending a DSMAP TLV includes these in-if-num and out-if-num (if configured) values. Additionally, it includes the out-label for the LSP in the Label TLV for the DSMAP in the echo request message.
Generally applicable proactive OAM parameters are configured using templates.
Proactive CC and CV uses BFD parameters such as Tx/Rx timer intervals, multiplier and other session/fault management parameters which are specific to BFD. These are configured using a BFD Template. The BFD Template may be used for non-MPLS-TP applications of BFD, and therefore contains the full set of possible configuration parameters for BFD. Only a sub-set of these may be used for any given application.
Generic MPLS-TP OAM and fault management parameters are configured in the OAM Template.
Named templates are referenced from the MPLS-TP Path MEP configuration, so different parameter values are possible for the working and protect paths of a tunnel.
The BFD Template is configured as follows:
The parameters are as follows:
If the BFD timer values as shown above are changed in a template, any BFD sessions on MEPs to which that template is bound will try to renegotiate their timers to the new values.
| Caution: The BFD implementations in some MPLS-TP peer nodes may not be able handle renegotiation, as allowed by Section 3.7.1 of RFC6428, and may take the BFD session down. This can result in undesired behavior, such as an unexpected protection switching event. We recommend that users of the system exercise caution when modifying the BFD timer values after a BFD session is up. |
Commands within the BFD-template use a begin-commit model. To edit any value within the BFD template, a begin needs to be executed once the template context has been entered. However, a value will still be stored temporarily until the commit is issued. Once the commit is issued, values will actually be used by other modules like the mpls-tp module and BFD module.
A BFD template is referenced from the OAM template. The OAM Template is configured as follows:
An OAM template is then applied to a MEP as described above.
Protection templates defines the generally applicable protection parameters for an MPLS-TP tunnel. Only linear protection is supported, and so the application of a named template to an MPLS-TP tunnel implies that linear protection is used.
A template is configured as follows:
The allowed values are as follows:
LSP Linear Protection operations are enacted using the following tools>perform commands.
To minimize outage times, users should use the “mpls-tp protection command” (for example, force/manual) to switch all the relevant MPLS-TP paths before executing the following commands:
The forward and reverse directions of the MPLS-TP LSP Path at a transit LSR are configured using the following CLI tree:
The src-tunnel-num and dest-tunnel-num are consistent with the source and destination of a label mapping message for a signaled LSP.
If dest-tunnel-num is not entered in CLI, the dest-tunnel-num value is taken to be the same as the SRC-tunnel-num value.
If any of the global-id values are not entered, the value is taken to be 0.
If the src-global-id value is entered, but the dest-global-id value is not entered, dest-global-id value is the same as the src-global-id value.
The lsp-num must match the value configured in the LER for a given path. If no explicit lsp-num is configured, then working-path or protect-path must be specified (equating to 1 or 2 in the system).
The forward path must be configured before the reverse path. The configuration of the reverse path is optional.
The LSP-ID (path-id) parameters apply with respect to the downstream direction of the forward LSP path, and are used to populate the MIP ID for the path at this LSR.
The reverse path configuration must be deleted before the forward path.
The forward-path (and reverse-path if applicable) parameters can be configured with or without the path-id, but they must be configured if MPLS-TP OAM is to be able to identify the LSR MIP.
The transit-path can be no shutdown (as long as the forward-path/reverse-path parameters have been configured properly) with or without identifiers.
The path-id and path-name must be unique on the node. There is a one to one mapping between a given path-name and path-id.
Traffic can not pass through the transit-path if the transit-path is in the shutdown state.
The following new commands show the details of the static MPLS labels.
show>router>mpls-labels>label <start-label> [<end-label> [in-use | <label-owner>]]
show>router>mpls-labels>label-range
An example output is as follows:
These commands show the configuration of a given tunnel.
show>router>mpls>tp-lsp
A sample output is as follows:
This can reuse and augment the output of the current show commands for static LSPs. They should also show if BFD is enabled on a given path. If this referring to a transit path, this should also display (among others) the path-id (7 parameters) for a given transit-path-name, or the transit-path-name for a given the path-id (7 parameters)
show>router>mpls>tp-lsp>path
A sample output is as follows:
The following output shows the protection configuration for a given tunnel, which path in a tunnel is currently working and which is protect, and whether the working or protect is currently active.
show>router>mpls>tp-lsp>protection
A sample output is as follows:
The following output shows the Global ID, Node ID and other general MPLS-TP configurations for the node.
show>router>mpls>mpls-tp
A sample output is as follows:
The following output is an example of mpls-tp specific information.
The following command provides the debug command for an MPLS-TP tunnel:
tools>dump>router>mpls>tp-tunnel <lsp-name> [clear]
The following is a sample output:
The following command shows the free MPLS tunnel IDs available between two values, start-range and end-range.
tools>dump>router>mpls>free-tunnel-id <start-range> <end-range>
The following command provides a debug tool to view control-channel-status signaling packets.
Without traffic engineering (TE), routers route traffic according to the SPF algorithm, disregarding congestion or packet types.
With TE, network traffic is routed efficiently to maximize throughput and minimize delay. TE facilitates traffic flows to be mapped to the destination through a different (less congested) path other than the one selected by the SPF algorithm.
MPLS directs a flow of IP packets along a label switched path (LSP). LSPs are simplex, meaning that the traffic flows in one direction (unidirectional) from an ingress router to an egress router. Two LSPs are required for duplex traffic. Each LSP carries traffic in a specific direction, forwarding packets from one router to the next across the MPLS domain.
When an ingress router receives a packet, it adds an MPLS header to the packet and forwards it to the next hop in the LSP. The labeled packet is forwarded along the LSP path until it reaches the destination point. The MPLS header is removed and the packet is forwarded based on Layer 3 information such as the IP destination address. The physical path of the LSP is not constrained to the shortest path that the IGP would choose to reach the destination IP address.
When the use of the TE metric is selected for an LSP, the shortest path computation after the TE constraints are applied will select an LSP path based on the TE metric instead of the IGP metric. The user configures the TE metric under the MPLS interface. Both the TE and IGP metrics are advertised by OSPF and IS-IS for each link in the network. The TE metric is part of the TE extensions of both IGP protocols.
A typical application of the TE metric is to allow CSPF to represent a dual TE topology for the purpose of computing LSP paths.
An LSP dedicated for real-time and delay sensitive user and control traffic has its path computed by CSPF using the TE metric. The user configures the TE metric to represent the delay figure, or a combined delay/jitter figure, of the link. In this case, the shortest path satisfying the constraints of the LSP path will effectively represent the shortest delay path.
An LSP dedicated for non-delay sensitive user and control traffic has its path computed by CSPF using the IGP metric. The IGP metric could represent the link bandwidth or some other figure as required.
When the use of the TE metric is enabled for an LSP, CSPF will first prune all links in the network topology that do not meet the constraints specified for the LSP path. These constraints include bandwidth, admin-groups, and hop limit. CSPF will then run an SPF on the remaining links. The shortest path among the all SPF paths is selected based on the TE metric instead of the IGP metric which is used by default. The TE metric is only used in CSPF computations for MPLS paths and not in the regular SPF computation for IP reachability.
This feature provides for the inclusion of the LSP primary path admin-group constraints in the computation of a Fast ReRoute (FRR) facility bypass backup LSP to protect the primary LSP path by all nodes in the LSP path.
This feature is supported with the following LSP types and in both intra-area and inter-area TE where applicable:
The user enables the signaling of the primary LSP path admin-group constraints in the FRR object at the ingress LER with the following CLI command:
config>router>mpls>lsp>fast-reroute>propagate-admin-group
When this command is enabled at the ingress LER, the admin-group constraints configured in the context of the P2P LSP primary path, or the ones configured in the context of the LSP and inherited by the primary path, are copied into the FAST_REROUTE object. The admin-group constraints are copied into the include-any or exclude-any fields.
The ingress LER propagates these constraints to the downstream nodes during the signaling of the LSP to allow them to include the admin-group constraints in the selection of the FRR backup LSP for protecting the LSP primary path.
The ingress LER will insert the FAST_REROUTE object by default in a primary LSP path message. If the user disables the object using the following command, the admin-group constraints will not be propagated: config>router>mpls>no frr-object.
The same admin-group constraints can be copied into the Session Attribute object. They are intended for the use of an LSR, typically an ABR, to expand the ERO of an inter-area LSP path. They are also used by any LSR node in the path of a CSPF or non-CSPF LSP to check the admin-group constraints against the ERO regardless if the hop is strict or loose. These are governed strictly by the command:
config>router>mpls>lsp>propagate-admin-group
In other words, the user may decide to copy the primary path admin-group constraints into the FAST_REROUTE object only, or into the Session Attribute object only, or into both.
The PLR rules for processing the admin-group constraints can make use of either of the two object admin-group constraints.
The user enables the use of the admin-group constraints in the association of a manual or dynamic bypass LSP with the primary LSP path at a Point-of-Local Repair (PLR) node using the following global command:
config>router>mpls>admin-group-frr
When this command is enabled, each PLR node reads the admin-group constraints in the FAST_REROUTE object in the Path message of the LSP primary path. If the FAST_REROUTE object is not included in the Path message, then the PLR will read the admin-group constraints from the Session Attribute object in the Path message.
If the PLR is also the ingress LER for the LSP primary path, then it just uses the admin-group constraint from the LSP and/or path level configurations.
Whether the PLR node is also the ingress LER or just an LSR for the protected LSP primary path, the outcome of the ingress LER configuration dictates the behavior of the PLR node and is summarized in Table 10.
Ingress LER Configuration | Session Attribute | FRR Object | Bypass LSP at PLR (LER/LSF) follows admin-group constraints | |
1 | frr-object lsp>no propagate-admin group lsp>frr>propagate-admin-group | Admin color constraints not sent | Admin color constraints sent | Yes |
2 | frr-object lsp>propagate-admin-group lsp>frr>propagate-admin group | Admin color constraints sent | Admin color constraints sent | Yes |
3 | frr-object lsp>propagate-admin group lsp>frr>no propagate-admin-group | Admin color constraints sent | Admin color constraints not sent | No |
4 | No frr-object lsp>propagate-admin group lsp>frr>propagate-admin-group | Admin color constraints sent | Not present | Yes |
5 | No frr-object lsp>no propagate-admin group lsp>frr>propagate-admin-group | Admin color constraints not sent | Not present | No |
6 | No frr-object lsp>propagate-admin group lsp>frr>no propagate-admin-group | Admin color constraints sent | Not present | Yes |
The PLR node then uses the admin-group constraints along with other constraints, such as hop-limit and SRLG, to select a manual or dynamic bypass among those that are already in use.
If none of the manual or dynamic bypass LSP satisfies the admin-group constraints, and/or the other constraints, the PLR node will request CSPF for a path that merges the closest to the protected link or node and that includes or excludes the specified admin-group IDs.
If the user changes the configuration of the above command, it will not have any effect on existing bypass associations. The change will only apply to new attempts to find a valid bypass.
The config>router>mpls>bypass-resignal-timer command triggers the periodic global re-optimization of all dynamic bypass LSP paths associated with RSVP P2P LSP. The operation is performed at each expiry of the user-configurable bypass LSP resignal timer.
When this command is enabled, MPLS requests to CSPF for the best path for each dynamic bypass LSP originated on this node. The constraints, hop limit, SRLG and admin-group constraints, of the first associated LSP primary path that originally triggered the signaling of the bypass LSP must be satisfied. To do this, MPLS saves the original Path State Block (PSB) of that LSP primary path, even if the latter is torn down.
If CSPF returns no path or returns a new path with a cost that is lower than the current path, MPLS does not signal the new bypass path. If CSPF returns a new path with a cost that is lower than the current one, MPLS signals it. Also, if the new bypass path is SRLG strict disjoint with the primary path of the original PSB while the current path is SRLG loose disjoint, the manual bypass path is resignaled regardless of cost comparison.
After the new path is successfully signaled, MPLS evaluates each PSB of each PLR (that is, each unique avoid-node or avoid-link constraint) associated with the current bypass LSP path to check if the corresponding LSP primary path constraints are still satisfied by the new bypass LSP path. If so, the PSB association is moved to the new bypass LSP.
Each PSB for which the constraints are not satisfied remains associated with the PLR on the current bypass LSP and is checked at the next background PSB re-evaluation, or at the next timer or manual bypass re-optimization. Additionally, if SRLG FRR loose disjointness is configured using the configure router mpls srlg-frr command and the current bypass LSP is SRLG disjoint with a primary path while the new bypass LSP is not SRLG disjoint, the PSB association is not moved.
If a specific PLR associated with a bypass LSP is active, the corresponding PSBs remain associated with the current PLR until the Global Revertive Make-Before-Break (MBB) tears down all corresponding primary paths, which also causes the current PLR to be removed.
| Note: While it is in the preceding state, the older PLR does not get any new PSB association until the PLR is removed. When the last PLR is removed, the older bypass LSP is torn down. |
Additionally, PSBs that have not been moved by the dynamic or manual re-optimization of a bypass LSP, as a result of the PSB constraints not being met by the new signaled bypass LSP path, are re-evaluated by the FRR background task, which handles cases where the PSB has requested node protection but its current PLR is a link-protect.
This feature is not supported with inter-area dynamic bypass LSP and bypass LSP protecting S2L paths of a P2MP LSP.
The tools>perform>router>mpls>resignal-bypass command performs a manual re-optimization of a specific dynamic or manual bypass LSP, or of all dynamic bypass LSPs.
The name of a manual bypass LSP is configured by the user. The name of a dynamic bypass LSP is displayed in the output of show>router>mpls>bypass-tunnel dynamic detail.
The delay option triggers the global re-optimization of all dynamic bypass LSPs at the expiry of the specified delay. Effectively, this option forces the global bypass resignal timer to expire after an amount of time equal to the value of the delay parameter. This option has no effect on a manual bypass LSP.
However, when the bypass LSP name is specified, the named dynamic or manual bypass LSP is signaled and the associations moved only if the new bypass LSP path has a lower cost than the current one. This behavior is different from that of the similar command for the primary or secondary active path of an LSP, which signals and switches to the new path regardless of the cost comparison. This handling is required because a bypass LSP can have a large number of PSB associations and the associated processing churn is much higher.
In the specific case where the name corresponds to a manual bypass LSP, the LSP is torn down and resignaled using the new path provided by CSPF if no PSB associations exist. If one or more PSB associations exist but no PLR is active, the command fails and the user is prompted to explicitly enter the force option. In this case, the manual bypass LSP is torn down and resignaled, temporarily leaving the associated LSP primary paths unprotected. If one or more PLRs associated with the manual bypass LSP is active, the command fails.
Finally, and as with the timer based resignal, the PSB associations are checked for the SRLG and admin group constraints using the updated information provided by CSPF for the current path and new path of the bypass LSP. More details are provided in sections RSVP-TE Bypass LSP Path SRLG Information Update in Manual and Timer Resignal MBB and RSVP-TE Bypass LSP Path Administrative Group Information Update in Manual and Timer Resignal MBB.
This feature enhances procedures of the timer and manual resignal (both delay and lsp options) of the RSVP-TE bypass LSP path by updating the SRLG information of the links of the current path and checking for SRLG disjointness constraint. The following sequence describes the timer and manual resignal enhancements.
PLR SRLG Constraint Check a | SRLG FRR Configuration (Strict/Loose) | Path Cumulative Cost Comparison a | Path Cumulative SRLG Weight Comparison a | More Optimal Path | |
Current Path | New Path | ||||
Disjoint | Disjoint | — | New Cost < Current Cost | — | New |
Disjoint | Disjoint | — | New Cost >= Current Cost | — | Current |
Disjoint | Not Disjoint | — | — | — | Current |
Not Disjoint | Not Disjoint | — | — | — | New |
Not Disjoint | Not Disjoint | Strict | — | — | Current |
Not Disjoint | Not Disjoint | Loose | New Cost < Current Cost | — | New |
Not Disjoint | Not Disjoint | Loose | New Cost > Current Cost | — | Current |
Not Disjoint | Not Disjoint | Loose | New Cost = Current Cost | New SRLG Weight < Current SRLG Weight | New |
Not Disjoint | Not Disjoint | Loose | New Cost = Current Cost | New SRLG Weight >= Current SRLG Weight | Current |
Note:
This feature enhances procedures of the timer and manual resignal (both delay and lsp options) of a RSVP-TE bypass LSP path by updating the administrative group information of the current path links and checking for administrative group constraints. The following sequence describes the timer and manual resignal enhancements.
This feature enhances the procedures of the timer resignal and of the delay option of the manual resignal of the active path of a RSVP-TE LSP. The feature updates the administrative group information of the links of the current path and checks for administrative group constraint. MPLS performs the following sequence of actions.
Diff-Serv traffic engineering (TE) provides the ability to manage bandwidth on a per-TE class basis as per RFC 4124. In the base traffic engineering, LER computes LSP paths based on available BW of links on the path. Diff-Serv TE adds ability to perform this on a per-TE class basis.
A TE class is a combination of Class Type and LSP priority. A Class Type is mapped to one or more system Forwarding Classes using a configuration profile. The operator sets different limits for admission control of LSPs in each TE class over each TE link. Eight TE classes are supported. Admission control of LSP paths bandwidth reservation is performed using the Maximum Allocation Bandwidth Constraint Model as per RFC 4125.
An LER allows the operator to map traffic to a Diff-Serv LSP using one of the following methods:
There are a couple of admission control decisions made when an LSP with a specified bandwidth is to be signaled. The first is in the head-end node. CSPF will only consider network links that have sufficient bandwidth. Link bandwidth information is provided by IGP TE advertisement by all nodes in that network.
Another decision made is local CAC and is performed when the RESV message for the LSP path is received in the reverse direction by a SR OS in that path. The bandwidth value selected by the egress LER is checked against link bandwidth, otherwise the reservation is rejected. If accepted, the new value for the remaining link bandwidth is advertised by IGP at the next advertisement event.
Both of these admission decisions are enhanced to be performed at the TE class level when Diff-Serv TE is enabled. In other words, CSPF in the head-end node will need to check the LSP bandwidth against the ‘unreserved bandwidth’ advertised for all links in the path of the LSP for that TE class which consists of a combination of a CT and a priority. Same for the admission control at SR OS receiving the Resv message.
The admission control rules for this model are described in RFC 4125. Each CT shares a percentage of the Maximum Reservable Link Bandwidth through the user-configured BC for this CT. The Maximum Reservable Link Bandwidth is the link bandwidth multiplied by the RSVP interface subscription factor.
The sum of all BC values across all CTs will not exceed the Maximum Reservable Link Bandwidth. In other words, the following rule is enforced:
SUM (BCc) =< Max-Reservable-Bandwidth, 0 <= c <= 7
An LSP of class-type CTc, setup priority p, holding priority h (h=<p), and bandwidth B is admitted into a link if the following condition is satisfied:
B <= Unreserved Bandwidth for TE-Class[i]
where TE-Class [i] maps to < CTc, p > in the definition of the TE classes on the node. The bandwidth reservation is effected at the holding priority; that is, in TE-class [j] = <CTc, h>. As such, the reserved bandwidth for CTc and the unreserved bandwidth for the TE classes using CTc are updated as follows:
Reserved(CTc) = Reserved(CTc) + B
Unreserved TE-Class [j] = BCc - SUM (Reserved(CTc,q)) for 0<= q <= h
Unreserved TE-Class [i] = BCc - SUM (Reserved(CTc,q)) for 0<= q <= p
The same is done to update the unreserved bandwidth for any other TE class making use of the same CTc. These new values are advertised to the rest of the network at the next IGP-TE flooding.
When Diff-Serv is disabled on the node, this model degenerates into a single default CT internally with eight preemption priorities and a non-configurable BC equal to the Maximum Reservable Link Bandwidth. This would behave exactly like CT0 with eight preemption priorities and BC= Maximum Reservable Link Bandwidth if Diff-Serv was enabled.
The RDM model is defined using the following equations:
SUM (Reserved (CTc)) <= BCb,
where the SUM is across all values of c in the range b <= c <= (MaxCT - 1), and BCb is the bandwidth constraint of CTb.
BC0= Max-Reservable-Bandwidth, so that:
SUM (Reserved(CTc)) <= Max-Reservable-Bandwidth,
where the SUM is across all values of c in the range 0 <= c <= (MaxCT - 1)
An LSP of class-type CTc, setup priority p, holding priority h (h=<p), and bandwidth B is admitted into a link if the following condition is satisfied:
B <= Unreserved Bandwidth for TE-Class[i],
where TE-Class [i] maps to < CTc, p > in the definition of the TE classes on the node. The bandwidth reservation is effected at the holding priority, that is, in TE-class [j] = <CTc, h>. As such, the reserved bandwidth for CTc and the unreserved bandwidth for the TE classes using CTc are updated as follows:
Reserved(CTc) = Reserved(CTc) + B
Unreserved TE-Class [j] = Unreserved (CTc, h) = Min [
BCc - SUM (Reserved (CTb, q) for 0<=q <= h, c <= b <= 7,
BC(c-1) – SUM (Reserved (CTb, q) for 0<=q <= h, (c-1) <= b <= 7,
…….
BC0 - SUM (Reserved (CTb, q) for 0<=q <= h, 0 <= b <= 7]
Unreserved TE-Class [i] = Unreserved (CTc, p) = Min [
BCc - SUM (Reserved (CTb, q) for 0<=q <= p, c <= b <= 7,
BC(c-1) – SUM (Reserved (CTb, q) for 0<=q <= p, (c-1) <= b <= 7,
…….
BC0 - SUM (Reserved (CTb, q) for 0<=q <= p, 0 <= b <= 7]
The same is done to update the unreserved bandwidth for any other TE class making use of the same CTc. These new values are advertised to the rest of the network at the next IGP-TE flooding.
Below is a simple example with two CT values (CT0, CT1) and one priority 0 as shown in Figure 24.

Suppose CT1 bandwidth, or the CT1 percentage of Maximum Reservable Bandwidth to be more accurate is 100 Mb/s and CT2 bandwidth is 100 Mb/s and link bandwidth is 200 Mb/s. BC constraints can be calculated as follows.
BC1 = CT1 Bandwidth = 100 Mb/s.
BC0 = {CT1 Bandwidth} + {CT0 Bandwidth} = 200 Mb/s.
Suppose an LSP comes with CT1, setup and holding priorities of 0 and a bandwidth of 50 Mb/s.

According to the RDM admission control policy:
Reserved (CT1, 0) = 50 <= 100 Mb/s
Reserved (CT0, 0) + Reserved (CT1, 0) = 50 <= 200 Mb/s
This results in the following unreserved bandwidth calculation.
Unreserved (CT1, 0) = BC1 – Reserved (CT1, 0) = 100 – 50 = 50 Mb/s
Unreserved (CT0, 0) = BC0 – Reserved (CT0, 0) – Reserved (CT1, 0) = 200 – 0 – 50= 150 Mb/s.
The bandwidth reserved by a doll is not available to itself or any of the outer dolls.
Suppose now another LSP comes with CT0, setup and holding priorities of 0 and a bandwidth 120 Mb/s.

Reserved (CT0, 0) = 120 <= 150 Mb/s
Reserved (CT0, 0) + Reserved (CT1, 0) = 120 + 50 = 170 <= 200 Mb/s
Unreserved (CT0, 0) = 150 -120 = 30 Mb/s
If we simply checked BC1, the formula would yield the wrong results:
Unreserved (CT1, 0) = BC1 – Reserved (CT1, 0) = 100 -50 = 50 Mb/s
Because of the encroaching of CT0 into CT1, we would need to deduct the overlapping reservation. This would then yield:
Unreserved (CT1, 0) = BC0 – Reserved (CT0, 0) – Reserved (CT1, 0) = 200 – 120 - 50 = 30 Mb/s, which is the correct figure.
Extending the formula with both equations:
Unreserved (CT1, 0) = Min [BC1 – Reserved (CT1, 0), BC0 – Reserved (CT0, 0) – Reserved (CT1, 0)] = Min [100 – 50, 200 – 120 – 50] = 30 Mb/s
An outer doll can encroach into an inner doll, reducing the bandwidth available for inner dolls.
RSVP will use the Class Type object to carry LSP class-type information during path setup. Eight values are supported for class-types 0 through 7 as per RFC 4124. Class type 0 is the default class which is supported today on the router.
One or more forwarding classes will map to a Diff-Serv class type trough a system level configuration.
IGP extensions are defined in RFC 4124. Diff-Serv TE advertises link available bandwidth, referred to as unreserved bandwidth, by OSPF TE or IS-IS TE on a per TE class basis. A TE class is a combination of a class type and an LSP priority. In order to reduce the amount of per TE class flooding required in the network, the number of TE classes is set to eight. This means that eight class types can be supported with a single priority or four class types with two priorities, and so on. In that case, the operator configures the desired class type on the LSP such that RSVP-TE can signal it in the class-type object in the path message.
IGP will continue to advertise the existing Maximum Reservable Link Bandwidth TE parameter to mean the maximum bandwidth that can be booked on a given interface by all classes. The value advertised is adjusted with the link subscription factor.
The following are the configuration steps at the RSVP protocol level:
Class Type (CT internal) | LSP Priority |
0 | 7 |
0 | 6 |
0 | 5 |
0 | 4 |
0 | 3 |
0 | 2 |
0 | 1 |
0 | 0 |
FC ID | FC Name | FC Designation | Class Type (CT) |
7 | Network Control | NC | 7 |
6 | High-1 | H1 | 6 |
5 | Expedited | EF | 5 |
4 | High-2 | H2 | 4 |
3 | Low-1 | L1 | 3 |
2 | Assured | AF | 2 |
1 | Low-2 | L2 | 1 |
0 | Best Effort | BE | 0 |
The following are the configuration steps at the RSVP interface level.
The following are the configuration steps at the LSP and LSP path levels.
If the operator configured a combination of a CT and a setup priority and/or a combination of a CT and a holding priority for an LSP path that are not supported by the user-defined TE classes, the LSP path is kept in a down state and error code is shown within the show command output for the LSP path.
An option to configure a main Class Type (CT) and a backup CT for the primary path of a Diff-Serv TE LSP is provided. The main CT is used under normal operating conditions, for example, when the LSP is established the first time and when it gets re-optimized due to timer based or manual resignal. The backup CT is used when the LSP retries under failure.
The use of backup Class Type (CT) by an LSP is enabled by executing the config>router>mpls>lsp>primary>backup-class-type ct-number command at the LSP primary path level.
When this option is enabled, the LSP will use the CT configured using the following commands (whichever is inherited at the primary path level) as the main CT:
The main CT is used at initial establishment and during a manual or a timer based resignal Make-Before-Break (MBB) of the LSP primary path. The backup CT is used temporarily to signal the LSP primary path when it fails and goes into retry.
Note that any valid values may be entered for the backup CT and main CT, but they cannot be the same. No check is performed to make sure that the backup CT is a lower CT in Diff-Serv Russian-Doll Model (RDM) admission control context.
The secondary paths of the same LSP are always signaled using the main CT as in existing implementation.
This feature behaves according to the following procedures.
This feature is not supported on a P2MP LSP.
In order to allow different levels of booking of network links under normal operating conditions and under failure conditions, it is necessary to allow sharing of bandwidth across class types.
This feature introduces the Russian-Doll Model (RDM) Diff-Serv TE admission control policy described in RFC 4127, Russian Dolls Bandwidth Constraints Model for Diffserv-aware MPLS Traffic Engineering. This mode is enabled using the following command: config>router>rsvp>diffserv-te rdm.
The Russian Doll Model (RDM) LSP admission control policy allows bandwidth sharing across Class Types (CTs). It provides a hierarchical model by which the reserved bandwidth of a CT is the sum of the reserved bandwidths of the numerically equal and higher CTs. Figure 27 shows an example.

CT2 has a bandwidth constraint BC2 which represents a percentage of the maximum reservable link bandwidth. Both CT2 and CT1 can share BC1 which is the sum of the percentage of the maximum reservable bandwidth values configured for CT2 and CT1 respectively. Finally, CT2, CT1, and CT0 together can share BC0 which is the sum of the percentage of the maximum reservable bandwidth values configured for CT2, CT1, and CT0 respectively. The maximum value for BC0 is of course the maximum reservable link bandwidth.
What this means in practice is that CT0 LSPs can use up to BC0 in the absence of LSPs in CT1 and CT2. When this occurs and a CT2 LSP with a reservation less than or equal to BC2 requests admission, it is only admitted by preempting one or more CT0 LSPs of lower holding priority than this LSP setup priority. Otherwise, the reservation request for the CT2 LSP is rejected.
It is required that multiple paths of the same LSP share common link bandwidth since they are signaled using the Shared Explicit (SE) style. Specifically, two instances of a primary path, one with the main CT and the other with the backup CT, must temporarily share bandwidth while MBB is in progress. Also, a primary path and one or many secondary paths of the same LSP must share bandwidth whether they are configured with the same or different CTs.
Consider a link configured with two class types CT0 and CT1 and making use of the RDM admission control model as shown in Figure 28.

Consider an LSP path Z occupying bandwidth B at CT1. BC0 being the sum of all CTs below it, the bandwidth occupied in CT1 is guaranteed to be available in CT0. When new path X of the same LSP for CT0 is setup, it will use the same bandwidth B as used by path Z as shown in Figure 28 (a). When path Z is torn down the same bandwidth now occupies CT0 as shown in Figure 28 (b). Even if there were no new BW available in CT0 as can be seen in Figure 28 (c), path X can always share the bandwidth with path Z.
CSPF at the head-end node and CAC at the transit LSR node will share bandwidth of an existing path when its CT is downgraded in the new path of the same LSP.
When upgrading the CT the following issue can be apparent. Assume an LSP path X exists with CT0. An attempt is made to upgrade this path to a new path Z with CT1 using an MBB.

In Figure 29 (a), if the path X occupies the bandwidth as shown it can not share the bandwidth with the new path Z being setup. If a condition exists, as shown in Figure 29, (b) the path Z can never be setup on this particular link.
Consider Figure 29 (c). The CT0 has a region that overlaps with CT1 as CT0 has incursion into CT1. This overlap can be shared. However, in order to find whether such an incursion has occurred and how large the region is, it is required to know the reserved bandwidths in each class. Currently, IGP-TE advertises only the unreserved bandwidths. Hence, it is not possible to compute these overlap regions at the head end during CSPF. Moreover, the head end needs to then try and mimic each of the traversed links exactly which increases the complexity.
CSPF at the head-end node will only attempt to signal the LSP path with an upgraded CT if the advertised bandwidth for that CT can accommodate the bandwidth. In other words, it will assume that in the worst case this path will not share bandwidth with another path of the same LSP using a lower CT.
This feature extends the traffic engineering capability with the support of IPv6 TE links and nodes.
This feature enhances IS-IS, BGP-LS and the TE database with the additional IPv6 link TLVs and TE link TLVs and provides the following three modes of operation of the IPv4 and IPv6 traffic engineering in a network.
See IS-IS IPv4/IPv6 SR-TE and IPv4 RSVP-TE Feature Behavior for more details on the IPv4 and IPv6 Traffic Engineering modes of operation.
The feature also adds support of IPv6 destinations to the SR-TE LSP configuration. In addition, this feature also extends the MPLS path configuration with hop indices that include IPv6 addresses.
IPv6 SR-TE LSP is supported with the hop-to-label and the local CSPF path computation methods. It requires the enabling of the IPv6 traffic engineering feature in IS-IS.
In order to enable IPv6 TE on the router, a new parameter referred to as IPv6 TE Router ID must have a valid IPv6 address. The following CLI command is used to configure the parameter:
configure>router>ipv6-te-router-id interface interface-name
The IPv6 TE Router ID is a mandatory parameter and allows the router to be uniquely identified by other routers in an IGP TE domain as being IPv6 TE capable. IS-IS advertises this information using the IPv6 TE Router ID TLV as explained in TE Attributes Supported in IGP and BGP-LS.
When the command is not configured, or the no form of the command is configured, the value of the IPv6 TE Router ID parameter reverts to the preferred primary global unicast address of the system interface. The user can also explicitly enter the name of the system interface to achieve the same outcome.
In addition, the user can specify a different interface and the preferred primary global unicast address of that interface is used instead. Only the system or a loopback interface is allowed since the TE router ID must use the address of a stable interface.
This address must be reachable from other routers in a TE domain and the associated interface must be added to IGP for reachability. Otherwise, IS-IS withdraws the advertisement of the IPv6 TE Router ID TLV.
When configuring a new interface name for the IPv6 TE Router ID, or when the same interface begins using a new preferred primary global unicast address, IS-IS immediately floods the new value.
If the referenced system is shut down or the referenced loopback interface is deleted or is shut down, or the last IPv6 address on the interface is removed, IS-IS withdraws the advertisement of the IPv6 TE Router ID TLV.
In order to enable the advertisement of additional link IPv6 and TE parameters, a new traffic-engineering-options CLI construct is used.
The existing traffic-engineering command continues its role as the main command for enabling TE in an IS-IS instance. This command enables the advertisement of the IPv4 and TE link parameters using the legacy TE encoding as per RFC 5305. These parameters are used in IPv4 RSVP-TE and IPv4 SR-TE.
When the ipv6 command under the traffic-engineering-options context is also enabled, then the traffic engineering behavior with IPv6 TE links is enabled. This IS-IS instance automatically advertises the new RFC 6119 IPv6 and TE TLVs and sub-TLVs as described in TE Attributes Supported in IGP and BGP-LS.
The application-link-attributes context allows the advertisement of the TE attributes of each link on a per-application basis. Two applications are supported in SR OS: RSVP-TE and SR-TE. The legacy mode of advertising TE attributes that is used in RSVP-TE is still supported but can be disabled by using the no legacy command that enables the per-application TE attribute advertisement for RSVP-TE as well.
Additional details of the feature behavior and the interaction of the previously mentioned CLI commands are described in IS-IS IPv4/IPv6 SR-TE and IPv4 RSVP-TE Feature Behavior.
The SR-TE LSP configuration can accept an IPv6 address into the to and from parameters.
In addition, the MPLS path configuration can accept a hop index with an IPv6 address. The IPv6 address used in the from and to commands in the IPv6 SR-TE LSP, as well as the address used in the hop command of the path used with the IPv6 SR-TE LSP must correspond to the preferred primary global unicast IPv6 address of a network interface or a loopback interface of the corresponding LER or LSR router. The IPv6 address can also be set to the system interface IPv6 address. Failure to follow the preceding IPv6 address guidelines for the from, to and hop, commands causes path computation to fail with failure code “noCspfRouteToDestination.
Link-local IPv6 address of a network interface is also not allowed in the hop command of the path used with the IPv6 SR-TE LSP.
All other MPLS level, LSP level, and primary or secondary path level configuration parameters available for a IPv4 SR-TE LSP are supported unless indicated otherwise.
IS-IS control plane extensions add support for the following RFC 6119 TLVs in IS-IS advertisements and in TE-DB.
IS-IS also supports advertising which protocol is enabled on a given TE-link (SR-TE, RSVP-TE, or both) by using the Application Specific Link Attributes (ASLA) sub-TLV as per draft-ietf-isis-te-app. This causes the advertising router to send potentially different Link TE attributes for RSVP-TE and SR-TE applications and allows the router receiving the link TE attributes to know which application is enabled on the advertising router. For backward compatibility, the router continues to support the legacy mode of advertising link TE attributes, as recommended in RFC 5305, but the user can disable it.
| Note: SR OS does not support configuring and advertising different link TE attribute values for RSVP-TE and SR-TE applications. The router advertises the same link TE attributes for both RSVP-TE and SR-TE applications. |
See IS-IS IPv4/IPv6 SR-TE and IPv4 RSVP-TE Feature Behavior for more details of the behavior of the per-application TE capability.
The new TLVs and sub-TLVs are advertised in IS-IS and added into the local TE-DB when received from IS-IS neighbors. In addition, if the database-export command is enabled in this ISIS instance, then this information is also added in the Enhanced TE-DB.
This feature adds the following enhancements to support advertising of the TE parameters in BGP-LS routes over a IPv4 or IPv6 transport:
The specification of the BGP-LS originator node in support of the ASLA TLV is written with the following main objectives in mind:
The following are the changes needed on the BGP-LS originator node to support objectives ( 1) and ( 2). Excerpts are directly from draft-ietf-idr-bgp-ls-app-specific-attr:
The following are the changes needed on the BGP-LS originator node to support of objective ( 3) and which is referred to as the backward compatibility mode. Excerpts are directly from draft-ietf-idr-bgp-ls-app-specific-attr:
| Note: The backward compatibility mode is not supported in SR OS. |
Table 14 lists the TE attributes that are advertised using the legacy link TE TLVs defined in RFC 5305 for IS-IS and in RFC 3630 for OSPF. These TE attributes are carried in BGP-LS as recommended in RFC 7752. These legacy TLVs are already supported in SR OS and in IS-IS, OSPF and BGP-LS.
To support IPv6 Traffic Engineering, the IS-IS IPv6 TE attributes (IPv6 TE Router ID and IPv6 SRLG TLV) are advertised in BGP-LS as recommended in RFC 7752.
All the above attributes can now be advertised within the ASLA TLV in IS-IS as recommended in draft-ietf-isis-te-app and in BGP-LS as recommended in draft-ietf-idr-bgp-ls-app-specific-attr. In the latter case, BGP-LS uses the same TLV type as in RFC 7752 but is included as a sub-TLV of the new BGP-LS ASLA TLV. Table 14 lists the code points for IS-IS and BGP-LS TLVs.
Link TE TLV Description | IS-IS TLV Type (RFC 5305) | OSPF TLV Type (RFC 3630) | BGP-LS Link NLRI Link- Attribute TLV Type (RFC 7752) |
Administrative group (color) | 3 | 9 | 1088 |
Maximum link bandwidth | 9 | 6 | 1089 |
Maximum reservable link bandwidth | 10 | 7 | 1090 |
Unreserved bandwidth | 11 | 8 | 1091 |
TE Default Metric | 18 | 5 | 1092 |
SRLG | 138 (RFC 4205) | 16 (RFC 4203) | 1096 |
IPv6 SRLG TLV | 139 (RFC 6119) | — | 1096 |
IPv6 TE Router ID | 140 (RFC 6119) | — | 1029 |
Application Specific Link Attributes | 16 (draft-ietf-isis-te-app) | — | 1122 (provisional-as per draft-ietf-idr-bgp-ls-app-specific-attr) |
Application Specific SRLG TLV | 238 (draft-ietf-isis-te-app) | — | 1122 (provisional-as per draft-ietf-idr-bgp-ls-app-specific-attr |
Table 15 lists the TE attributes that are received from a third-party router implementation in legacy TE TLVs, or in the ASLA TLV for the RSVP-TE or SR-TE applications that are added into the local SR OSTE-DB; these are also distributed by the BGP-LS originator. However, these TLVs are not originated by a SR OS router IGP implementation.
Link TE TLV Description | IS-IS TLV Type (RFC 7810) | OSPF TLV Type (RFC 7471) | BGP-LS Link NLRI Link- Attribute TLV Type (draft-ietf-idr-te-pm-bgp) |
Unidirectional Link Delay | 33 | 27 | 1114 |
Min/Max Unidirectional Link Delay | 34 | 28 | 1115 |
Unidirectional Delay Variation | 35 | 29 | 1116 |
Unidirectional Link Loss | 36 | 30 | 1117 |
Unidirectional Residual Bandwidth | 37 | 31 | 1118 |
Unidirectional Available Bandwidth | 38 | 32 | 1119 |
Unidirectional Utilized Bandwidth | 39 | 33 | 1120 |
Any other TE attribute received in a legacy TE TLV or in an Application Specific Link Attributes TLV is not added to the local router TE-DB and therefore, not distributed by the BGP-LS originator.
The TE feature in IS-IS allows the advertising router to indicate to other routers in the TE domain which applications the advertising router has enabled: RSVP-TE, SR-TE, or both. As a result, a receiving router can safely prune links that are not enabled in one of the applications from the topology when computing a CSPF path in that application.
TE behavior consists of the following steps.
| Note: The segment-routing command must be enabled in the IS-IS instance or the flag for the SR-TE application will not be set in the Application Specific Link Attributes TLV or in the Application Specific SRLG TLV. |

| Note: The segment-routing command must be enabled in the IS-IS instance or the common TE attribute will not be advertised for the SR-TE application. |
IGP Traffic Engineering Options | Link TE Advertisement Details | |||
RSVP-TE (rsvp enabled on interface) | SR-TE (segment-routing enabled in IGP instance) | RSVP-TE and SR-TE (rsvp enabled on interface and segment-routing enabled in IGP instance) | ||
Legacy Mode: no application-link-attributes | Legacy TE TLVs | — | Legacy TE TLVs | |
Legacy Mode with Application Indication: {application-link-attributes + legacy} | rsvp disabled on router (rsvp operationally down on all interfaces) | — | Legacy TE TLVs ASLA TLV -Flags: {Legacy=0, SR-TE=1}; TE sub-sub-TLVs | Legacy TE TLVs ASLA TLV -Flags: {Legacy=1, RSVP-TE=0, SR-TE=1} |
rsvp enabled on router | Legacy TE TLVs ASLA TLV -Flags: {Legacy=1, RSVP-TE=1} | Legacy TE TLVs ASLA TLV -Flags: {Legacy=1, SR-TE=1} | Legacy TE TLVs ASLA TLV -Flags: {Legacy=1, RSVP-TE=1, SR-TE=1} | |
Application Specific Mode: {application-link-attributes} or {application-link-attributes + no legacy} | ASLA TLV -Flags: {Legacy=0, RSVP-TE=1}; TE sub-sub-TLVs | ASLA TLV -Flags: {Legacy=0, SR-TE=1}; TE sub-sub-TLVs | ASLA TLV -Flags: {Legacy=0, RSVP-TE=1; SR-TE=1}; TE sub-sub-TLVs (common attributes) ASLA TLV -Flags: {Legacy=0, RSVP-TE=1}; TE sub-sub-TLVs (RSVP-TE specific attributes; e.g., Unreserved BW and Resvble BW) ASLA TLV -Flags: {Legacy=0, SR-TE=1}; TE sub-sub-TLVs (SR-TE specific attributes; not supported in SR OS 19.10.R1) | |
This feature is supported with the hop-to-label, the local CSPF, and the PCE (PCC-initiated an PCE-initiated) path computation methods.
All capabilities of a IPv4 provisioned SR-TE LSP are supported with a IPv6 SR-TE LSP unless indicated otherwise. There are, however, some important differences with an IPv4 SR-TE LSP which are explained below.
The IPv6 address used in the from and to commands in the IPv6 SR-TE LSP, as well as the address used in the hop command of the path used with the IPv6 SR-TE LSP must correspond to the preferred primary global unicast IPv6 address of a network interface or a loopback interface of the corresponding LER or LSR router. The IPv6 address can also be set to the system interface IPv6 address. Failure to follow the preceding IPv6 address guidelines for the from, to and hop, commands causes path computation to fail with failure code “noCspfRouteToDestination. A Link-Local IPv6 address of a network interface is also not allowed in the hop command of the path used with the IPv6 SR-TE LSP. The configuration fails.
A TE link with no global unicast IPv6 address and only a link local IPv6 address can however be used in the path computation by the local CSPF. The address shown in the ‘Computed Hops’ and in the ‘Actual Hops’ fields of the output of the path show command uses the neighbor’s IPv6 TE router ID and the Link-Local Interface Identifier. The exceptions are if the interface is of type broadcast or is of type point-to-point but also has a local IPv4 address. Only the neighbor’s IPv6 TE router ID is shown as the Link-Local Interface Identifiers sub-TLV is not advertised in these situations.
The global MPLS IPv4 state UP value requires that the system interface be in the admin UP state and to have a valid IPv4 address.
The global MPLS IPv6 state UP value requires that the interface used for the IPv6 TE router ID be in admin UP state and to have a valid preferred primary IPv6 global unicast address.
The TE interface MPLS IPv4 state UP value requires the interface be in the admin UP state in the router context and the global MPLS IPv4 state be in UP state.
The TE interface MPLS IPv6 state UP value requires the interface be in the admin UP state in the router context and the global MPLS IPv6 state be in UP state.
This feature provides for the auto-creation of an IPv6 SR-TE mesh LSP and for a IPv6 SR-TE one-hop LSP.
The SR-TE mesh LSP feature specifically binds an LSP template of type mesh-p2p-srte with one or more IPv6 prefix lists. When the Traffic Engineering database discovers a router, which has an IPv6 TE router ID matching an entry in the prefix list, it triggers MPLS to instantiate an SR-TE LSP to that router using the LSP parameters in the LSP template.
The SR-TE one-hop LSP feature specifically activates a LSP template of type one-hop-p2p-srte. In this case, the TE database keeps track of each TE link which comes up to a directly connected IGP TE neighbor. It then instructs MPLS to instantiate a SR-TE LSP with the following parameters:
A new family CLI leaf is added to the LSP template configuration and must be set to the ipv6 value. By default, this command is set to the ipv4 value for backward compatibility. When establishing both IPv4 and IPv6 SR-TE mesh auto-LSPs with the same parameters and constraints, a separate LSP template of type mesh-p2p-srte must be configured for each address family with the family CLI leaf set to the IPv4 or IPv6 value. SR-TE one-hop auto-LSPs can only be established for either IPv4 or IPv6 family, but not both. The family leaf in the LSP template of type one-hop-p2p-srte should be set to the desired IP family value.
| Note: A IPv6 SR-TE auto-LSP can be reported to a PCE but cannot be delegated or have its paths computed by PCE. |
All capabilities of an IPv4 SR-TE auto-LSP are supported with a IPv6 SR-TE auto-LSP unless indicated otherwise.
This section describes advanced MPLS/RSVP features.
It is possible to configure the address of a loopback interface, other than the router-id, as the destination of an RSVP LSP, or a P2MP S2L sub-LSP. In the case of a CSPF LSP, CSPF searches for the best path that matches the constraints across all areas and levels of the IGP where this address is reachable. If the address is the router-id of the destination node, then CSPF selects the best path across all areas and levels of the IGP for that router-id; regardless of which area and level the router-id is reachable as an interface.
In addition, the user can now configure the address of a loopback interface, other than the router-id, as a hop in the LSP path hop definition. If the hop is strict and corresponds to the router-id of the node, the CSPF path can use any TE enabled link to the downstream node, based on best cost. If the hop is strict and does not correspond to the router-id of the node, then CSPF will fail.
The tools perform router mpls update-path {lsp lsp-name path current-path-name new-path new-path-name} command instructs MPLS to replace the path of the primary or secondary LSP.
The primary or secondary LSP path is indirectly identified via the current-path-name value. In existing implementation, the same path name cannot be used more than once in a given LSP name.
This command is also supported on an SNMP interface.
This command applies to both CSPF LSP and to a non-CSPF LSP. However, it will only be honored when the specified current-path-name has the adaptive option enabled. The adaptive option can be enabled the LSP level or at the path level.
The new path must be first configured in CLI or provided via SNMP. The configure >router>mpls>path path-name command is used to enter the path.
The command fails if any of the following conditions are satisfied:
When the command is executed, MPLS performs the following procedures:
This feature provides a new command to move the path of an LSP from a standby secondary to another standby secondary.
The base version of the command allows the path of the LSP to move from a standby (or an active secondary) to another standby of the same priority. If a new standby path with a higher priority or a primary path comes up after the tools perform command is executed, the path re-evaluation command runs and the path is moved to the path specified by the outcome of the re-evaluation.
The CLI command for the base version is:
tools>perform>router>mpls>switch-path>lsp lsp-name path path-name
The sticky version of the command can be used to move from a standby path to any other standby path regardless of priority. The LSP remains in the specified path until this path goes down or the user performs the no form of the tools perform command.
The CLI commands for the sticky version are:
tools>perform>router>mpls>force-switch-path>lsp lsp-name path path-name
tools>perform>router>mpls>no force-switch-path lsp lsp-name
When an LSP is switched from an existing working path to a new path, it is desirable to perform this in a hitless fashion. The Make-Before-Break (MBB) procedure consist of first signaling the new path when it is up, and having the ingress LER move the traffic to the new path. Only then the ingress LER tears down the original path.
MBB procedure is invoked during the following operations:
In a prior implementation, item 7 covers the following parameters:
This feature extends the coverage of the MBB procedure to most of the other LSP level and Path level parameters as follows:
This feature is not supported on a manual bypass LSP.
P2MP Tree Level Make-before-break operation is supported if changes are made to the following parameters on LSP-Template:
This feature enables the automatic creation of an RSVP point-to-point LSP to a destination node whose router-id matches a prefix in the specified peer prefix policy. This LSP type is referred to as auto-LSP of type mesh.
The user can associate multiple templates with the same or different peer prefix policies. Each application of an LSP template with a given prefix in the prefix list will result in the instantiation of a single CSPF computed LSP primary path using the LSP template parameters as long as the prefix corresponds to a router-id for a node in the TE database. Each instantiated LSP will have a unique LSP-id and a unique tunnel-ID.
Up to five (5) peer prefix policies can be associated with a given LSP template at all times. Each time the user executes the above command with the same or different prefix policy associations, or the user changes a prefix policy associated with an LSP template, the system re-evaluates the prefix policy. The outcome of the re-evaluation will tell MPLS if an existing LSP needs to be torn down or if a new LSP needs to be signaled to a destination address that is already in the TE database.
If a /32 prefix is added to (removed from) or if a prefix range is expanded (shrunk) in a prefix list associated with an LSP template, the same prefix policy re-evaluation described above is performed.
The trigger to signal the LSP is when the router with a router-id the matching a prefix in the prefix list appears in the TE database. The signaled LSP is installed in the Tunnel Table Manager (TTM) and is available to applications such as LDP-over-RSVP, resolution of BGP label routes, resolution of BGP, IGP, and static routes. It is, however, not available to be used as a provisioned SDP for explicit binding or auto-binding by services.
If the one-hop option is specified instead of a prefix policy, this command enables the automatic signaling of one-hop point-to-point LSPs using the specified template to all directly connected neighbors. This LSP type is referred to as auto-LSP of type one-hop. Although the provisioning model and CLI syntax differ from that of a mesh LSP only by the absence of a prefix list, the actual behavior is quite different. When the above command is executed, the TE database will keep track of each TE link that comes up to a directly connected IGP neighbor whose router-id is discovered. It then instructs MPLS to signal an LSP with a destination address matching the router-id of the neighbor and with a strict hop consisting of the address of the interface used by the TE link. The auto-lsp command with the one-hop option will result in one or more LSPs signaled to the neighboring router.
An auto-created mesh or one-hop LSP can have egress statistics collected at the ingress LER by adding the egress-statistics node configuration into the LSP template. The user can also have ingress statistics collected at the egress LER using the same ingress-statistics node in CLI used with a provisioned LSP. The user must specify the full LSP name as signaled by the ingress LER in the RSVP session name field of the Session Attribute object in the received Path message.
The user first creates an LSP template of type mesh P2P:
config>router>mpls>lsp-template template-name mesh-p2p
Inside the template the user configures the common LSP and path level parameters or options shared by all LSPs using this template.
Then the user references the peer prefix list which is defined inside a policy statement defined in the global policy manager.
config>router>mpls>auto-lsp lsp-template template-name policy peer-prefix-policy
The user can associate multiple templates with same or different peer prefix policies. Each application of an LSP template with a given prefix in the prefix list will result in the instantiation of a single CSPF computed LSP primary path using the LSP template parameters as long as the prefix corresponds to a router-id for a node in the TE database. This feature does not support the automatic signaling of a secondary path for an LSP. If the user requires the signaling of multiple LSPs to the same destination node, he/she must apply a separate LSP template to the same or different prefix list which contains the same destination node. Each instantiated LSP will have a unique LSP-id and a unique tunnel-ID. This feature also does not support the signaling of a non-CSPF LSP. The selection of the no cspf option in the LSP template is therefore blocked.
Up to 5 peer prefix policies can be associated with a given LSP template at all times. Each time the user executes the above command, with the same or different prefix policy associations, or the user changes a prefix policy associated with an LSP template, the system re-evaluates the prefix policy. The outcome of the re-evaluation will tell MPLS if an existing LSP needs to be torn down or a new LSP needs to be signaled to a destination address which is already in the TE database.
If a /32 prefix is added to (removed from) or if a prefix range is expanded (shrunk) in a prefix list associated with an LSP template, the same prefix policy re-evaluation described above is performed.
The user must perform a no shutdown command of the template before it takes effect. Once a template is in use, the user must shutdown the template before effecting any changes to the parameters except for those LSP parameters for which the change can be handled with the Make-Before-Break (MBB) procedures. These parameters are bandwidth and enabling fast-reroute with or without the hop-limit or node-protect options. For all other parameters, the user shuts down the template and once a it is added, removed or modified, the existing instances of the LSP using this template are torn down and re-signaled.
Finally the auto-created mesh LSP can be signaled over both numbered and unnumbered RSVP interfaces.
Whether the prefix list contains one or more specific /32 addresses or a range of addresses, an external trigger is required to indicate to MPLS to instantiate an LSP to a node which address matches an entry in the prefix list. The objective of the feature is to provide an automatic creation of a mesh of RSVP LSP to achieve automatic tunneling of LDP-over-RSVP. The external trigger is when the router with the router-id matching an address in the prefix list appears in the TE database. In the latter case, the TE database provides the trigger to MPLS which means this feature operates with CSPF LSP only.
Each instantiation of an LSP template results in RSVP signaling and installing state of a primary path for the LSP to the destination router. The auto- LSP is installed in the Tunnel Table Manager (TTM) and is available to applications such as LDP-over-RSVP, resolution of BGP label routes, resolution of BGP, IGP, and static routes. The auto-LSP can also be used for auto-binding by a VPRN service. The auto-LSP is however not available to be used in a provisioned SDP for explicit binding by services. Therefore, an auto-LSP can also not be used directly for auto-binding of a PW template with the use-provisioned-sdp option in BGP-AD VPLS or FEC129 VLL service. However, an auto-binding of a PW template to an LDP LSP, which is then tunneled over an RSVP auto-LSP is supported.
If the user changes the bandwidth parameter in the LSP template, an MBB is performed for all LSPs using the template. If however the auto-bandwidth option was enabled in the template, the bandwidth parameter change is saved but will only take effect at the next time the LSP bounces or is re-signaled.
Except for the MBB limitations to the configuration parameter change in the LSP template, MBB procedures for manual and timer based re-signaling of the LSP, for TE Graceful Shutdown and for soft pre-emption are supported.
Note that the use of the tools perform router mpls update-path command with a mesh LSP is not supported.
The one-to-one option under fast-reroute is also not supported.
If while the LSP is UP, with the bypass backup path activated or not, the TE database loses the router-id, it will perform an update to MPLS module which will state router-id is no longer in TE database. This will cause MPLS to tear down all mesh LSPs to this router-id. Note however that if the destination router is not a neighbor of the ingress LER and the user shuts down the IGP instance in the destination router, the router-id corresponding to the IGP instance will only be deleted from the TE database in the ingress LER after the LSA/LSP ages out. If the user brought back up the IGP instance before the LSA/LSP aged out, the ingress LER deletes and re-installs the same router-id at the receipt of the updated LSA/LSP. In other words, the RSVP LSPs destined to this router-id will get deleted and re-established. All other failure conditions will cause the LSP to activate the bypass backup LSP or to go down without being deleted.
A router which does not have TE links within a given IGP area/level will not have its router-id discovered in the TE database by other routers in this area/level. In other words, an auto-LSP of type P2P mesh cannot be signaled to a router which does not participate in the area/level of the ingress LER.
A mesh LSP can however be signaled using TE links all belonging to the same IGP area even if the router-id of the ingress and egress routers are interfaces reachable in a different area. In this case, the LSP is considered to be an intra-area LSP.
If multiple instances of ISIS or OSPF are configured on a router, each with its own router-id value, the TE database in other routers are able to discover TE links advertised by each instance. In such a case, an instance of an LSP can be signaled to each router-id with a CSPF path computed using TE links within each instance.
Finally, if multiple instances of ISIS or OSPF are configured on a destination router each with the same router-id value, a single instance of LSP is signaled from other routers. If the user shuts down one IGP instance, this is no op as long as the other IGP instances remain up. The LSP will remain up and will forward traffic using the same TE links. The same behavior exists with a provisioned LSP.
When the ingress LER signals the path of a mesh auto-LSP, it includes the name of the LSP and that of the path in the Session Name field of the Session Attribute object in the Path message. The encoding is as follows:
Session Name: <lsp-name::path-name>, where lsp-name component is encoded as follows:
TemplateName-DestIpv4Address-TunnelId
Where DestIpv4Address is the address of the destination of the auto-created LSP.
At ingress LER, the user can enable egress statistics for the auto-created mesh LSP by adding the following configuration to the LSP template:
If there are no stat indices available when an LSP is instantiated, the assignment is failed and the egress-statistics field in the show command for the LSP path is in the operational DOWN state but in admin UP state.
An auto-created mesh LSP can also have ingress statistics enabled on the egress LER as long as the user specifies the full LSP name following the above syntax.
config>router>mpls>ingress-statistics>lsp lsp-name sender ip-address
The user first creates an LSP template of type one-hop:
config>router>mpls>lsp-template template-name one-hop-p2p
Then the user enables the automatic signaling of one-hop LSP to all direct neighbors using the following command:
config>router>mpls>auto-lsp lsp-template template-name one-hop
The LSP and path parameters and options supported in an LSP template of type one-hop-p2p are that same as in the LSP template of type mesh-p2p except for the parameter from which is not allowed in a template of type one-hop-p2p. The show command for the auto-LSP displays the actual outgoing interface address in the ‘from’ field.
Finally the auto-created one-hop LSP can be signaled over both numbered and unnumbered RSVP interfaces.
Although the provisioning model and CLI syntax differ from that of a mesh LSP only by the absence of a prefix list, the actual behavior is quite different. When the above command is executed, the TE database will keep track of each TE link which comes up to a directly connected IGP neighbor which router-id is discovered. It then instructs MPLS to signals an LSP with a destination address matching the router-id of the neighbor and with a strict hop consisting of the address of the interface used by the TE link. Therefore, the auto-lsp command with the one-hop option will result in one or more LSPs signaled to the IGP neighbor.
Only the router-id of the first IGP instance of the neighbor which advertises a TE link will cause the LSP to be signaled. If subsequently another IGP instance with a different router-id advertises the same TE link, no action is taken and the existing LSP is kept up. If the router-id originally used disappears from the TE database, the LSP is kept up and is associated now with the other router-id.
The state of a one-hop LSP once signaled follows the following behavior:
All other feature behavior, limitations, and statistics support are the same as for an auto-LSP of type mesh-p2p.
RSVP-TE LSP or SR-TE LSP shortcut for IGP route resolution allows forwarding of packets to IGP learned routes using an RSVP-TE LSP. This is also referred to as IGP shortcut. This feature instructs IGP to include RSVP-TE LSPs and SR-TE LSPs originating on this node and terminating on the router ID of a remote node as direct links with a metric equal to the metric provided by MPLS. Note that Dijkstra will always use the IGP metric to build the SPF tree and the LSP metric value does not update the SPF tree calculation. During the IP reach to determine the reachability of nodes and prefixes, LSPs are then overlaid and the LSP metric is used to determine the subset of paths which are equal lowest cost to reach a node or a prefix. If the user enabled the relative-metric option for this LSP, IGP will apply the shortest IGP cost between the endpoints of the LSP plus the value of the offset, instead of the LSP operational metric, when computing the cost of a prefix which is resolved to the LSP.
When a prefix is resolved to a tunnel next hop, the packet is sent labeled with the label stack corresponding to the NHLFE of the RSVP LSP and the explicit-null IPv6 label at the bottom of the stack in the case of an IPv6 prefix. Any network event causing an RSVP LSP to go down will trigger a full SPF computation which may result in installing a new route over another RSVP LSP shortcut as tunnel next hop or over a regular IP next hop.
When igp-shortcut is enabled at the IGP instance level, all RSVP-TE and SR-TE LSPs originating on this node are eligible by default as long as the destination address of the LSP, as configured in config>router>mpls>lsp>to, corresponds to a router-id of a remote node. LSPs with a destination corresponding to an interface address or any other loopback interface address of a remote node are automatically not considered by IS-IS or OSPF. The user can, however, exclude a specific RSVP-TE LSP or a SR-TE LSP from being used as a shortcut for resolving IGP routes as explained in IGP Shortcut Feature Configuration.
It is specifically recommended to disable the igp-shortcut option on RSVP LSP which has the cspf option disabled unless the full explicit path of the LSP is provided in the path definition. MPLS tracks in RTM the destination or the first loose-hop in the path of a non CSPF LSP and as such this can cause bouncing when used within IGP shortcuts.
The SPF in OSPF or IS-IS only uses RSVP LSPs as forwarding adjacencies, IGP shortcuts, or as endpoints for LDP-over-RSVP. These applications of RSVP LSPs are mutually exclusive at the IGP instance level. If two or more options are enabled in the same IGP instance, forwarding adjacency takes precedence over the shortcut application which takes precedence over the LDP-over-RSVP application. The SPF in IGP uses SR-TE LSPs as IGP shortcuts only.
Table 17 summarizes the outcome in terms of RSVP LSP role of mixing these configuration options.
IGP Instance level configurations | ||||||
LSP level configuration | advertise-tunnel-link enabled / igp-shortcut enabled / ldp-over-rsvp enabled | advertise-tunnel-link enabled / igp-shortcut enabled / ldp-over-rsvp disabled | advertise-tunnel-link enabled / igp-shortcut disabled / ldp-over-rsvp disabled | advertise-tunnel-link disabled / igp-shortcut disabled / ldp-over-rsvp disabled | advertise-tunnel-link disabled / igp-shortcut enabled / ldp-over-rsvp enabled | advertise-tunnel-link disabled / igp-shortcut disabled / ldp-over-rsvp enabled |
igp-shortcut enabled / ldp-over-rsvp enabled | Forwarding Adjacency | Forwarding Adjacency | Forwarding Adjacency | None | IGP Shortcut | LDP-over-RSVP |
igp-shortcut enabled / ldp-over-rsvp disabled | Forwarding Adjacency | Forwarding Adjacency | Forwarding Adjacency | None | IGP Shortcut | None |
igp-shortcut disabled / ldp-over-rsvp enabled | None | None | None | None | None | LDP-over-RSVP |
igp-shortcut disabled / ldp-over-rsvp disabled | None | None | None | None | None | None |
The igp-shortcut shutdown command disables the resolution of IGP routes using IGP shortcuts.
The following CLI objects enable the resolution over IGP IPv4 shortcuts of IPv4 and IPv6 prefixes within an ISIS instance, of IPv6 prefixes within an OSPFv3 instance, and of IPv4 prefixes within an OSPFv2 instance.
The new resolution node igp-shortcut is introduced to provide flexibility in the selection of the IP next hops or the tunnel types for each of the IPv4 and IPv6 prefix families.
When the IPv4 family option is enabled, the IS-IS or OSPF SPF includes the IPv4 IGP shortcuts in the IP reach calculation of IPv4 nodes and prefixes. RSVP-TE LSPs terminating on a node identified by its router ID can be used to reach IPv4 prefixes owned by this node or for which this node is the IPv4 next hop.
When the IPv6 family option is enabled, the IS-IS or OSPFv3 SPF includes the IPv4 IGP shortcuts in the IP reach calculation of IPv6 nodes and prefixes. RSVP-TE LSPs terminating on a node identified by its router ID can be used to reach IPv6 prefixes owned by this node or for which this node is the IPv6 next hop. The IPv6 option is supported in both ISIS MT=0 and MT=2.
The IS-IS or OSPFv3 IPv6 routes resolved to IPv4 IGP shortcuts are used to forward packets of IS-IS or OSPFv3 prefixes matching these routes but are also used to resolve the BGP next hop of BGP IPv6 prefixes, resolve the indirect next hop of static IPv6 routes, and forward CPM-originated IPv6 packets.
In the data path, a packet for an IPv6 prefix has a label stack that consists of the IPv6 Explicit-Null label value of 2 at the bottom of the label stack followed by the label of the IPv4 RSVP-TE LSP.
The following commands provide control of the use of an RSVP-TE LSP in IGP shortcuts:
An LSP can be excluded from being used as an IGP shortcut for forwarding IPv4 and IPv6 prefixes, or the LSP in the LFA SPF can be used to protect the primary IP next hop of an IPv4 or IPv6 prefix.
The SR OS tunnel-next-hop construct binds IP prefixes to IPv4 IGP shortcuts on a per-prefix family basis.
The following details the behavior of the construct.
The resolution outcome for each of the IPv4 and IPv6 prefix families is summarized in Table 18. The description and behavior of the SRv4 and SRv6 families are described in SR Shortest Path Tunnel Over RSVP-TE IGP Shortcut Feature Configuration. The description and behavior of the sr-te resolution option using SR-TE IGP shortcuts are described in IPv4 IGP Shortcuts using SR-TE LSP Feature Configuration.
igp-shortcut CLI context | IP family (v4/v6) CLI config | SR family (v4/v6) CLI config | IPv4 ECMP NH SET Computed | SRv4 ECMP NH SET Computed | IPv6 ECMP NH SET Computed | SRv6 ECMP NH SET Computed | |
0 | shutdown | — | — | IP (unicast RTM) | IP (mcast RTM) | IP (unicast RTM) | IP (mcast RTM) |
1 | no shutdown | resolution disabled | resolution disabled | IP (mcast RTM) | IP (mcast RTM) | IP (mcast RTM) | IP (mcast RTM) |
resolution match-family-ip | IP (mcast RTM) | IP (mcast RTM) | IP (mcast RTM) | IP (mcast RTM) | |||
2 | no shutdown | resolution-filter {rsvp} | resolution disabled | RSVP+IP | IP (mcast RTM) | RSVP+IP | IP (mcast RTM) |
resolution match-family-ip | RSVP+IP | RSVP+IP | RSVP+IP | RSVP+IP | |||
3 | no shutdown | resolution-filter {sr-te} | resolution disabled | SRTE+IP | IP (mcast RTM) | SRTE+IP | IP (mcast RTM) |
resolution match-family-ip | SRTE+IP | IP (mcast RTM) | SRTE+IP | IP (mcast RTM) | |||
4 | no shutdown | resolution {any}/resolution-filter {rsvp,sr-te} | resolution disabled | RSVP+IP | IP (mcast RTM) | RSVP+IP | IP (mcast RTM) |
SRTE+IP | IP (mcast RTM) | SRTE+IP | IP (mcast RTM) | ||||
resolution match-family-ip | RSVP+IP | RSVP+IP | RSVP+IP | RSVP+IP | |||
SRTE+IP | IP (mcast RTM) | SRTE+IP | IP (mcast RTM) |
The configuration value of sr-te is added to the resolution-filter context of the igp-shortcut construct. When enabled, this value allows IGP to resolve IPv4 prefixes, IPv6 prefixes, and LDP IPv4 prefix FECs over SR-TE LSPs used as IGP shortcuts.
In addition, the value of any in the resolution-filter context allows the user to resolve IP prefixes and LDP FECs to either RSVP-TE or SR-TE LSPs used as IGP shortcuts.
See Family Prefix Resolution and Tunnel Selection Rules for an explanation of the rules for the resolution of IPv4 prefixes, IPv6 prefixes, and LDP FECs, and for the selection of the tunnel types on a per family basis.
The IGP instance SPF routine performs the Dijkstra tree calculation on the topology with IP links only and saves the information in both the unicast routing table and in the multicast routing table. It then performs the IP reach calculation in the multicast routing table for each prefix family that disabled IGP shortcuts. Concurrently, it lays the tunnels on the tree and performs the IP reach calculation in the unicast routing table for each prefix family that enabled IGP shortcuts.
The following are the details of the resolution of prefix families in the unicast or multicast routing tables.
SR-TE IGP shortcuts can be used in the following applications.
| Note: Next hops of BGP LU routes cannot resolve to LDP in TTM because SR OS supports three levels of hierarchy in the data path and, because SR-TE LSP is a hierarchical LSP already, this makes the BGP-over-LDP-over-SRTE a 4-level hierarchy. BGP will keep these BGP-LU routes unresolved. |
The following are the details of the Loop-free Alternate (LFA) Protection Support.
| Note: The LFA SPF calculation cannot check that the outgoing interface of the protecting SR-TE LSP is different from the primary next hop of the prefix. The prefix will still be protected by either the ECMP next hops or the LFA backup next hop of the first segment of the protecting SR-TE LSP. This is a difference in behavior with that of an RSVP-TE LSP used with the lfa-only option. In that case, such an LSP is excluded from being used as a LFA backup next hop. |
Two prefix family values of srv4 and srv6 are added to the igp-shortcut construct.
When enabled, the srv4 value allows IGP to resolve SR-ISIS IPv4 tunnels in MT=0 or SR-OSPF IPv4 tunnels over RSVP-TE LSPs used as IGP shortcuts.
When enabled, the srv6 value allows IGP to resolve SR-ISIS IPv6 tunnels in MT=0 over RSVP-TE LSPs used as IGP shortcuts.
See Family Prefix Resolution and Tunnel Selection Rules for an explanation of the rules for the resolution of SR-ISIS IPv4 tunnels, SR-ISIS IPv6 tunnels, and SR-OSPF IPV4 tunnels, and the selection of the tunnel types on a per-family basis.
The following are the details of the resolution of prefix families in the unicast or multicast routing tables.
| Note: Segment routing is not supported in IS-IS MT=2. |
| Note: While this feature is intended to tunnel SR-ISIS IPv4 and IPv6 tunnels and SR-OSPF IPv4 tunnels over RSVP-TE IPv4 IGP shortcuts, an SR-TE LSP that has its first segment (ingress LER role) or its next segment (LSR role) correspond to one of these SR-ISIS or SR-OSPF tunnels will also be tunneled over RSVP-TE LSP. |
The following describes how SR-ISIS IPv4 or IPv6 or a SR-OSPF IPv4 tunnels are resolved.
| Note: Next hops of BGP LU routes cannot resolve to LDP in TTM to a SR-TE LSP that is using an SR-ISIS or SR-OSPF segment because SR OS supports three levels of hierarchy in the data path and, because SR-TE LSP is a hierarchical LSP already, this makes the BGP-over-SRTE-over-RSVPTE a 4-level hierarchy. BGP will keep these BGP-LU routes unresolved. |
The following are the details of the Loop-free Alternate (LFA) Protection Support.
By default, the absolute metric of the LSP is used to compute the contribution of a IGP shortcut to the total cost of a prefix or a node after the SPF is complete. The absolute metric is the operational metric of the LSP populated by MPLS in the Tunnel Table Manager (TTM). This corresponds to the cumulative IGP-metric of the LSP path returned by CSPF or the static admin metric value of the LSP if the user configured one using the config>router>mpls>lsp>metric command. Note that MPLS populates the TTM with the maximum metric value of 16777215 in the case of a CSPF LSP using the TE-metric and a non-CSPF LSP with a loose or strict hop in the path. A non-CSPF LSP with an empty hop in the path definition returns the IGP cost for the destination of the LSP.
The user enables the use of the relative metric for an IGP shortcut with the following CLI command:
config>router>mpls>lsp>igp-shortcut relative-metric [offset]
IGP will apply the shortest IGP cost between the endpoints of the LSP plus the value of the offset, instead of the LSP operational metric, when computing the cost of a prefix which is resolved to the LSP.
The offset value is optional and it defaults to zero. An offset value of zero is used when the relative-metric option is enabled without specifying the offset parameter value.
The minimum net cost for a prefix is capped to the value of one (1) after applying the offset:
Prefix cost = max(1, IGP cost + relative metric offset)
Note that the TTM continues the show the LSP operational metric as provided by MPLS. In other words, applications such as LDP-over-RSVP (when IGP shortcut is disabled) and BGP and static route shortcuts will continue to use the LSP operational metric.
The relative-metric option is mutually exclusive with the lfa-protect or the lfa-only options. In other words, an LSP with the relative-metric option enabled cannot be included in the LFA SPF and vice-versa when the igp-shortcut option is enabled in the IGP.
Finally, it should be noted that the relative-metric option is ignored when forwarding adjacency is enabled in IS-IS or OSPF by configuring the advertise-tunnel-link option. In this case, IGP advertises the LSP as a point-to-point unnumbered link along with the LSP operational metric capped to the maximum link metric allowed in that IGP.
The resolution and forwarding of IPv6 prefixes to IPv4 forwarding adjacency LSPs is not supported.
When you enable ECMP on the system and multiple equal-cost paths exist for a prefix, the following selection criteria are used to pick up the set of next hops to program in the data path:
The ingress IOM will spray the packets for a prefix over the set of tunnel next hops and IP next hops based on the hashing routine currently supported for IPv4 packets.
All control plane packets that require an RTM lookup and whose destination is reachable over the RSVP shortcut are forwarded over the shortcut. This is because RTM keeps a single route entry for each prefix unless there is ECMP over different outgoing interfaces.
Interface bound control packets are not impacted by the RSVP shortcut since RSVP LSPs with a destination address different than the router-id are not included by IGP in its SPF calculation.
The forwarding adjacency feature can be enabled independently from the IGP shortcut feature in CLI. To enable forwarding adjacency, the user enters the following command in IS-IS or OSPF:
If both igp-shortcut and advertise-tunnel-link options are enabled for a given IGP instance, then the advertise-tunnel-link will win. With this feature, ISIS or OSPF advertises an RSVP LSP as a link so that other routers in the network can include it in their SPF computations. The RSVP LSP is advertised as an unnumbered point-to-point link and the link LSP/LSA has no TE opaque sub-TLVs as per RFC 3906 Calculating Interior Gateway Protocol (IGP) Routes Over Traffic Engineering Tunnels.
When the forwarding adjacency feature is enabled, each node advertises a p2p unnumbered link for each best metric tunnel to the router-id of any endpoint node. The node does not include the tunnels as IGP shortcuts in SPF computation directly. Instead, when the LSA/LSP advertising the corresponding P2P unnumbered link is installed in the local routing database, then the node performs an SPF using it like any other link LSA/LSP. The link bi-directional check requires that a link, regular link or tunnel link, exists in the reverse direction for the tunnel to be used in SPF.
The forwarding adjacency feature does not support forwarding of IPv6 prefixes. Note that the igp-shortcut option under the LSP name governs the use of the LSP with both the igp-shortcut and the advertise-tunnel-link options in IGP. The interactions of these options are summarized in Table 19:
LSP level configuration | Actions with IGP Shortcut Feature | Actions with Forwarding Adjacency Feature |
igp-shortcut | Tunnel is used in main SPF, but is not used in LFA SPF | Tunnel is advertised as p2p link if it has best LSP metric, is used in main SPF if advertised, but is not used in LFA SPF |
igp-shortcut lfa-protect | Tunnel is used in main SPF, and is used in LFA SPF | Tunnel is advertised as p2p link if it has best LSP metric, is used in main SPF if advertised, and is used in LFA SPF regardless if it is advertised or not |
igp-shortcut lfa-only | Tunnel is not used in main SPF, but is used in LFA SPF | Tunnel is not advertised as p2p link, if not used in main SPF, but is used in LFA SPF |
The user can enable LDP FECs over IGP shortcuts by configuring T-LDP sessions to the destination of the RSVP LSP. In this case, LDP FEC is tunneled over the RSVP LSP, effectively implementing LDP-over-RSVP without having to enable the ldp-over-rsvp option in OSPF or IS-IS. The ldp-over-rsvp and igp-shortcut options are mutually exclusive under OSPF or IS-IS.
Similar to LDP forwarding over IGP shortcut tunnels, the user can enable the resolution of LDP FECs over static route shortcuts by configuring T-LDP sessions and a static route that provides tunneled next hops corresponding to RSVP LSPs. In this case, indirect tunneled next hops in a static route are preferred over IP indirect next hops. For more information, refer to the 7450 ESS, 7750 SR, 7950 XRS, and VSR Router Configuration Guide.
This feature supports multicast Reverse-Path Check (RPF) in the presence of IGP shortcuts. When the multicast source for a packet is reachable via an IGP shortcut, the RPF check fails since PIM requires a bi-directional path to the source but IGP shortcuts are unidirectional.
The implementation of the IGP shortcut feature provides IGP with the capability to populate the multicast RTM with the prefix IP next-hop when both the igp-shortcut option and the multicast-import option are enabled in IGP.
This change is made possible with the enhancement introduced by which SPF keeps track of both the direct first hop and the tunneled first hop of a node that is added to the Dijkstra tree.
Note that IGP will not pass LFA next-hop information to the mcast RTM in this case. Only ECMP next-hops are passed. As a consequence, features such as PIM Multicast-Only FRR (MoFRR) will only work with ECMP next-hops when IGP shortcuts are enabled.
Finally, note that the concurrent enabling of the advertise-tunnel-link option and the multicast-import option will result a multicast RTM that is a copy of the unicast RTM and is populated with mix of IP and tunnel NHs. RPF will succeed for a prefix resolved to a IP NH, but will fail for a prefix resolved to a tunnel NH. Table 20 summarizes the interaction of the igp-shortcut and advertise-tunnel-link options with unicast and multicast RTMs.
Unicast RTM (Primary SPF) | Multicast RTM (Primary SPF) | Unicast RTM (LFA SPF) | Multicast RTM (LFA SPF) | ||
OSPF | igp-shortcut | √ | √ 1 | √ | X 3 |
advertise-tunnel-link | √ | √ 2 | √ | √ 4 | |
IS-IS | igp-shortcut | √ | √ 1 | √ | X 3 |
advertise-tunnel-link | √ | √ 2 | √ | √ 4 | |
Notes:
The router supports the MPLS entropy label (RFC 6790) on RSVP-TE LSPs used for IGP and BGP shortcuts. LSR nodes in a network can load-balance labeled packets in a more granular way than by hashing on the standard label stack. See MPLS Entropy Label and Hash Label for more information.
To configure insertion of the entropy label on IGP or BGP shortcuts, use the entropy-label command under the configure>router context.
This feature provides the option for disabling TTL propagation from a transit or a locally generated IP packet header into the LSP label stack when an RSVP LSP is used as a shortcut for BGP next-hop resolution, a static-route-entry next-hop resolution, or for an IGP route resolution.
A transit packet is a packet received from an IP interface and forwarded over the LSP shortcut at ingress LER.
A locally-generated IP packet is any control plane packet generated from the CPM and forwarded over the LSP shortcut at ingress LER.
TTL handling can be configured for all RSVP LSP shortcuts originating on an ingress LER using the following global commands:
config>router>mpls>[no] shortcut-transit-ttl-propagate config>router>mpls>[no] shortcut-local-ttl-propagate
These commands apply to all RSVP LSPs which are used to resolve static routes, BGP routes, and IGP routes.
When the no form of the above command is enabled for local packets, TTL propagation is disabled on all locally generated IP packets, including ICMP Ping, trace route, and OAM packets that are destined to a route that is resolved to the LSP shortcut. In this case, a TTL of 255 is programmed onto the pushed label stack. This is referred to as pipe mode.
Similarly, when the no form is enabled for transit packets, TTL propagation is disabled on all IP packets received on any IES interface and destined to a route that is resolved to the LSP shortcut. In this case, a TTL of 255 is programmed onto the pushed label stack.
An LSP template can be used for signaling RSVP-TE LSP to far-end PE node that is detected based on auto-discovery method by a client application. RSVP-TE P2MP LSP signaling based on LSP template is supported for Multicast VPN application on SR OS platform. LSP template avoids an explicit LSP or LSP S2L configuration for a node that is dynamically added as a receiver.
An LSP template has the option to configure TE parameters that apply to LSP that is set up using the template. TE options that are currently supported are:
Shared Risk Link Groups (SRLGs) is a feature that allows the user to establish a backup secondary LSP path or a FRR LSP path which is disjoint from the path of the primary LSP. Links that are members of the same SRLG represent resources sharing the same risk, for example, fiber links sharing the same conduit or multiple wavelengths sharing the same fiber.
When the SRLG option is enabled on a secondary path, CSPF includes the SRLG constraint in the computation of the secondary LSP path. CSPF would return the list of SRLG groups along with the ERO during primary path CSPF computation. At a subsequent establishment of a secondary path with the SRLG constraint, the MPLS task queries again CSPF providing the list of SRLG group numbers to be avoided. If the primary path was not successfully computed, MPLS assumes an empty SRLG list for the primary. CSPF prunes all links with interfaces which belong to the same SRLGs as the interfaces included in the ERO of the primary path. If CSPF finds a path, the secondary is setup. If not, MPLS keeps retrying the requests to CSPF.
When the SRLG option is enabled on FRR, CSPF includes the SRLG constraint in the computation of a FRR detour or bypass for protecting the primary LSP path. CSPF prunes all links with interfaces which belong to the same SRLG as the interface, which is being protected, that is, the outgoing interface at the PLR the primary path is using. If one or more paths are found, the MPLS task selects one based on best cost and signals the bypass/detour. If not and the user included the strict option, the bypass/detour is not setup and the MPLS task keeps retrying the request to CSPF. Otherwise, if a path exists which meets the other TE constraints, other than the SRLG one, the bypass/detour is setup.
A bypass or a detour LSP is not intended to be SRLG disjoint from the entire primary path. This is because only the SRLGs of the outgoing interface at the PLR the primary path is using are avoided.
A typical application of the SRLG feature is to provide for an automatic placement of secondary backup LSPs or FRR bypass/detour LSPs that minimizes the probability of fate sharing with the path of the primary LSP (Figure 31).
The following details the steps necessary to create shared risk link groups:

This feature is supported on OSPF and IS-IS interfaces on which RSVP is enabled.
The likelihood of paths with links sharing SRLG values with a primary path being used by a bypass or detour LSP can be configured if a penalty weight is specified for the link. The higher the penalty weight, the less desirable it is to use the link with a given SRLG.
Figure 32 illustrates the operation of SRLG penalty weights.

The primary LSP path includes a link between A and D with SRLG (1) and (2). The bypass around this link through nodes B and C includes links (a) and (d), which are members of SRLG (1), and links (b) and (c), which are members of SRLG 2. If the link metrics are equal, then this gives four ECMP paths from A to D via B and C:
Two of these paths include undesirable (from a reliability perspective) link (c). SRLG penalty weights or costs can be used to provide a tiebreaker between these paths so that the path including (c) is less likely to be chosen. For example, if the penalty associated with SRLG (1) is 5, and the penalty associated with SRLG (2) is 10, and the penalty associated with SRLG (3) is 1, then the cumulative penalty of each of the paths above is calculated by summing the penalty weights for each SRLG that a path has in common with the primary path:
Therefore path (a), (d), (e) is chosen since it has the lowest cumulative penalty.
Penalties are applied by summing the values for SRLGs in common with the protected part of the primary path.
A user can define a penalty weight value associate with an SRLG group using the penalty-weight parameter of the srlg-group command under the configure>router-if-attribute context. If an SRLG penalty weight is configured, then CSPF will include the SRLG penalty weight in the computation of an FRR detour or bypass for protecting the primary LSP path at a PLR node. Links with a higher SRLG penalty should be more likely to be pruned than links with a lower SRLG penalty.
Note that the configured penalty weight is not advertised in the IGP.
An SRLG penalty weight is applicable whenever an SRLG group is applied to an interface, including in the static SRLG database. However, penalty weights are used in bypass and detour path computation only when the srlg-frr (loose) flag is enabled.
This feature provides operations with the ability to manually enter the link members of SRLG groups for the entire network at any SR OS which will need to signal LSP paths (for example, a head-end node).
The operator may explicitly enable the use by CSPF of the SRLG database. In that case, CSPF will not query the TE database for IGP advertised interface SRLG information.
Note, however, that the SRLG secondary path computation and FRR bypass/detour path computation remains unchanged.
There are deployments where the SR OS will interoperate with routers that do not implement the SRLG membership advertisement via IGP SRLG TLV or sub-TLV.
In these situations, the user is provided with the ability to enter manually the link members of SRLG groups for the entire network at any SR OS which will need to signal LSP paths, for example, a head-end node.
The user enters the SRLG membership information for any link in the network by using the interface ip-int-name srlg-group group-name command in the config>router>mpls> srlg-database>router-id context. An interface can be associated with up to 5 SRLG groups for each execution of this command. The user can associate an interface with up to 64 SRLG groups by executing the command multiple times. The user must also use this command to enter the local interface SRLG membership into the user SRLG database. The user deletes a specific interface entry in this database by executing the no form of this command.
The group-name must have been previously defined in the srlg-group group-name value group-value command in the config>router>if-attribute. The maximum number of distinct SRLG groups the user can configure on the system is 1024.
The parameter value for router-id must correspond to the router ID configured under the base router instance, the base OSPF instance or the base IS-IS instance of a given node. Note however that a single user SRLG database is maintained per node regardless if the listed interfaces participate in static routing, OSPF, IS-IS, or both routing protocols. The user can temporarily disable the use by CSPF of all interface membership information of a specific router ID by executing the shutdown command in the config>router>mpls> srlg-database> router-id context. In this case, CSPF will assume these interfaces have no SRLG membership association. The operator can delete all interface entries of a specific router ID entry in this database by executing the no router-id router-address command in the config>router>mpls> srlg-database context.
CSPF will not use entered SRLG membership if an interface is not listed as part of a router ID in the TE database. If an interface was not entered into the user SRLG database, it is assumed that it does not have any SRLG membership. CSPF will not query the TE database for IGP advertised interface SRLG information.
The operator enables the use by CSPF of the user SRLG database by entering the user-srlg-db enable command in the config>router>mpls context. When the MPLS module makes a request to CSPF for the computation of an SRLG secondary path, CSPF will query the local SRLG and computes a path after pruning links which are members of the SRLG IDs of the associated primary path. Similarly, when MPLS makes a request to CSPF for a FRR bypass or detour path to associate with the primary path, CSPF queries the user SRLG database and computes a path after pruning links which are members of the SRLG IDs of the PLR outgoing interface.
The operator can disable the use of the user SRLG database by entering the user-srlg-db disable in command in the config>router>mpls context. CSPF will then resumes queries into the TE database for SRLG membership information. However, the user SRLG database is maintained
The operator can delete the entire SRLG database by entering the no srlg-database command in the config>router>mpls context. In this case, CSPF will assume all interfaces have no SRLG membership association if the user has not disabled the use of this database.
Graceful shutdown provides a method to bulk re-route transit LSPs away from the node during software upgrade of a node. A solution is described in RFC 5817, Graceful Shutdown in MPLS and Generalized MPLS Traffic Engineering Networks. This is achieved in this RFC by using a PathErr message with a specific error code Local Maintenance on TE link required flag. When a LER gets this message, it performs a make-before-break on the LSP path to move the LSP away from the links/nodes which IP addresses were indicated in the PathErr message.
Graceful shutdown can flag the affected link/node resources in the TE database so other routers will signal LSPs using the affected resources only as a last resort. This is achieved by flooding an IGP TE LSA/LSP containing link TLV for the links under graceful shutdown with the TE metric set to 0xffffffff and 0 as unreserved bandwidth.
A Diff-Serv LSP can preempt another LSP of the same or of a different CT if its setup priority is strictly higher (numerically lower) than the holding priority of that other LSP.
When multiples equal-cost paths satisfy the constraints of a given RSVP LSP path, CSPF in the router head-end node will select a path so that LSP bandwidth is balanced across the network links. In releases prior to R7.0, CSPF used a random number generator to select the path and returned it to MPLS. In the course of time, this method actually balances the number of LSP paths over the links in the network; it does not necessarily balance the bandwidth across those links.
The least-fill path selection algorithm identifies the single link in each of the equal cost paths which has the least available bandwidth in proportion to its maximum reserved bandwidth. It then selects the path which has the largest value of this figure. The net effect of this algorithm is that LSP paths are spread over the network links over time such that percentage link utilization is balanced. When the least-fill option is enabled on an LSP, during a manual reset CSPF will apply this method to all path calculations of the LSP, also at the time of the initial configuration.
Inter-area contiguous LSP scheme provides end-to-end TE path. Each transit node in an area can set up a TE path LSP based on TE information available within its local area.
A PE node initiating an inter-area contiguous TE LSP does partial CSPF calculation to include its local area border router as a loose node.
Area border router on receiving a PATH message with loose hop ERO does a partial CSPF calculation to the next domain border router as loose hop or CSPF to reach the final destination.
This feature enhances the prior implementation of an inter-area RSVP P2P LSP by making the ABR selection automatic at the ingress LER. The user will not need to include the ABR as a loose-hop in the LSP path definition.
CSPF adds the capability to compute all segments of a multi-segment intra-area or inter-area LSP path in one operation.
Figure 33 illustrates the role of each node in the signaling of an inter-area LSP with automatic ABR node selection.

CSPF for an inter-area LSP operates as follows:

In prior implementation, an inter-area LSP path would have been re-routed if a failure or a topology change occurred in the local or a remote area while the ABR loose-hop in the path definition was still up. If the exit ABR node went down, went into IS-IS overload, or was put into node TE graceful shutdown, the LSP path will remain down at the ingress LER.
One new behavior introduced by the automatic selection of ABR is the ability of the ingress LER to reroute an inter-area LSP primary path via a different ABR in the following situations:
The automatic ABR selection for an inter-area LSP does not change prior implementation inter-area LSP behavior of many of the LSP and path level options. There is, however, a number of enhancements introduced by the automatic ABR selection feature as explained in the following.
The OSPF virtual link extends area 0 for a router that is not connected to area 0. As a result, it makes all prefixes in area 0 reachable via an intra-area path but in reality, they are not since the path crosses the transit area through which the virtual link is set up to reach the area 0 remote nodes.
The TE database in a router learns all of the remote TE links in area 0 from the ABR connected to the transit area, but an intra-area LSP path using these TE links cannot be signaled within area 0 since none of these links is directly connected to this node.
This inter-area LSP feature can identify when the destination of an LSP is reachable via a virtual link. In that case, CSPF will automatically compute and signal an inter-area LSP via the ABR nodes that is connected to the transit area.
However, when the ingress LER for the LSP is the ABR connected to the transit area and the destination of the LSP is the address corresponding to another ABR router-id in that same transit area, CSPF will compute and signal an intra-area LSP using the transit area TE links, even when the destination router-id is only part of area 0.
For protection of the area border router, the upstream node of the area border router acts as a point-of-local-repair (PLR), and the next-hop node to the protected domain border router is the merge-point (MP). Both manual and dynamic bypass are available to protect area border node.
Manual bypass protection works only when a proper completely strict path is provisioned that avoids the area border node.
Dynamic bypass protection provides for the automatic computation, signaling, and association with the primary path of an inter-area P2P LSP to provide ABR node protection. Figure 35 illustrates the role of each node in the ABR node protection using a dynamic bypass LSP.

In order for a PLR node within the local area of the ingress LER to provide ABR node protection, it must dynamically signal a bypass LSP and associate it with the primary path of the inter-area LSP using the following new procedures:
Note that a one-to-one detour backup LSP cannot be used at the PLR for the protection of the ABR node. As a result, a PLR node will not signal a one-to-one detour LSP for ABR protection. In addition, an ABR node will reject a Path message, received from a third party implementation, with a detour object and with the ERO having the next-hop loose. This is performed regardless if the cspf-on-loose-hop option is enabled or not on the node. In other words, the router as a transit ABR for the detour path will reject the signaling of an inter-area detour backup LSP.
The following secondary to primary path reversion is supported for RSVP-TE LSPs:
Normally, an RSVP-TE LSP automatically switches back from using a secondary path to the primary path as soon as the primary path recovers. In some deployments, it is useful to delay reversion or allow manual reversion, rather than allowing an LSP to revert to the primary path as soon as it is available. This feature provides a method to manage fail-overs in the network.
If manual reversion is used, a fall-back timer-based mechanism is required in case a human operator fails to execute the switch back to the primary path. This function is also useful to stagger reversion for large numbers of LSPs.
A reversion timer for an LSP is configured using the CLI as follows:
When configured, the revert timer is started as soon as a primary path recovers. The LSP does not revert from the currently used secondary path to the primary path until the timer expires. When configured, the revert-timer is used instead of the existing hold timer.
The timer value can be configured in one minute increments, up to 4320 minutes (72 hours). Once a timer has started, it can be modified using this command. If a new value is entered, then the current timer is canceled (without reverting the LSP) and then restarted using the new value.
The no form of the command cancels any currently outstanding revert timer and causes the LSP to revert to the primary path if it is up.
If the LSP secondary path fails while the revert timer is still running, the system cancels the revert- timer and the LSP will revert to the primary path immediately. A user can manually force an LSP to revert to the primary path while the revert-timer is still running, using the following tools command:
tools>perform>router>mpls revert lsp lsp-name
This command forces the early expiry of the revert timer for the LSP. The primary path must be up in order for this command to work.
RSVP and SR-TE LSPs can be configured with an administrative tag.
The primary application of LSP tagging is to enable the system to resolve to specific transport tunnels (or groups of eligible transport tunnels) for BGP routes for applications such as BGP labeled unicast, VPRN, or EVPN. Additionally, LSP tagging specifies a finer level of granularity on the next-hop or the far-end prefix associated with a BGP labeled unicast route or unlabeled BGP route shortcut tunnels.
LSP tagging is supported using the following capabilities in SR OS.
The following provides an overview of how the feature is intended to operate:
This section describes how the matrix of include or exclude colors in a route-admin-tag-policy policy-name, which is assigned to a route, are matched against LSP internal colors. This is a generic algorithm. The following sections provide further details of how this applies to specific use cases.
Internal color matching occurs before any resolution filter is applied.
The following selection process assumes the system starts with a set of eligible RSVP and SR-TE LSPs to the appropriate BGP next hop.
This selection process results in a set of one or more ECMP LSPs, which may be further reduced by a resolution filter.
For VPRN, EVPN-VPLS, and EVPN-VPWS, routes may be imported via peer route import policies that contain route admin-tag policies or via VRF import for VPRN and VSI import for E-VPN VPLS used for auto-bind-tunnel.
VRF import and VSI import policies take precedence over the peer route import policy.
For policies that contain route admin-tag policies, the set of available RSVP and SR-TE LSPs in TTM are first pruned as described in Internal Route Color to LSP Color Matching Algorithm. This set may then be further reduced by a resolution filter. If weighted-ecmp is configured, then this is applied across the resulting set.
Routes with no admin-tag, or a tag that is not explicitly excluded by the route admin tag policy, can still resolve to any tagged or untagged LSP but matching tagged LSPs are used in preference to any other. It is possible that following the resolution filter no eligible RSVP or SR-TE LSP exists. By default, the system will fall back to regular auto-bind behavior using LDP, SR-ISIS, SR-OSPF, or any other lower priority configured tunnel type, otherwise the resolution will fail. That is, matching admin-tagged RSVP or SR-TE LSPs are used in preference to other LSP types, whether tagged or untagged. However, it is possible on a per-service basis to enforce that only specific tagged tunnels should be considered, otherwise resolution will fail, using the enforce-strict-tunnel-tagging command in the auto-bind-tunnel context.
For E-VPN VPWS, VSI import is not supported. Therefore, admin-tag policies can only be applied via a peer route import policy based on a match on the route target for the BGP peer for the VPWS.
A specific LSP can be selected as transport to a specified BGP next hop for BGP labeled unicast and unlabeled BGP routes tunneled over RSVP and SR-TE LSPs.
Routes are imported via import route policies. Named routing policies may contain route admin-tag policies. For route import policies that contain route admin-tag policies, the set of available RSVP and SR-TE LSPs in TTM are first pruned as described in Internal Route Color to LSP Color Matching Algorithm.
This set may then be further reduced by a resolution filter.
If weighted-ecmp is configured, then this is applied across the resulting set.
Routes with no admin-tag can still resolve to any tagged or untagged LSP. It is possible that, following the resolution filter, no eligible RSVP or SR-TE LSP exists. By default, the system falls back to using LDP, SR-ISIS, SR-OSPF, or any other lower-priority tunnel type; otherwise the resolution fails. That is, matching admin-tagged RSVP or SR-TE LSPs are preferred to other LSP types. On a per-address family basis, the enforce-strict-tunnel-tagging command in the next-hop-resolution filter for BGP labeled routes or shortcut tunnels can be used to enforce that only tagged tunnels are considered; otherwise, resolution fails.
LSP Self Ping is specified in RFC 7746. LSP Self Ping provides a lightweight, periodic connectivity check by the head-end LER of an LSP with no session state in the tail-end LER. LSP Self Ping checks that an LSP data path has been programmed following the receipt of the RESV message for the path. LSP Self Ping defines a new OAM packet with a locally unique session ID. The IP source address of this packet is set to the address of the egress LER, and the destination address is set to that of the ingress LER, such that when the packet exits the egress LER the packet is simply forwarded back to the ingress LER. LSP Self Ping is a distinct OAM mechanism from LSP ping, despite the similar name.
SR OS supports LSP Self Ping for point-to-point RSVP-TE LSPs and point-to-point RSVP auto-LSPs, including PCC-initiated and PCC-controlled LSPs, and PCC-initiated and PCE-controlled LSPs.
An SR OS router can use LSP Self Ping to test that the data path of an LSP has been fully programmed along its length before moving traffic onto it. When enabled, LSP Self Ping packets are periodically sent on a candidate path that the router intends to switch to, for example, during primary or secondary switching (with FRR on the primary) or MBB of a path, following the receipt of the RESV message, until a reply is received from the far end. When a reply is received, the system determines that the data path of the LSP must have been programmed. LSP Self Ping is used instead of the LSP hold timer (config>router>mpls>hold-timer). This is particularly useful in multi-vendor networks where certain nodes may take unexpectedly long times to program their data path.
LSP BFD is not supported if LSP Self Ping is enabled for MPLS.
LSP Self Ping is configured under the MPLS context using the lsp-self-ping command.
LSP Self Ping is enabled for all RSVP-TE LSPs using the rsvp-te enable command. However, it is possible to enable or disable LSP Self Ping for a specific LSP or LSP template regardless of the setting at the MPLS level.
The interval command sets the interval, in seconds, that periodic LSP Self Ping packets are sent. The timeout command configures a timer that is started when the first LSP Self Ping packet for a given event is sent on an LSP path. The timeout-action specifies what action to take if no LSP self ping reply is received before the timer expires. If timeout-action is set to retry, then the router tries to signal a new path and the process repeats (see Detailed Behavior of LSP Self Ping for more information). If timeout-action is set to switch, then the router uses the new path regardless and stops the LSP self ping cycle.
LSP Self Ping can also be enabled or disabled for a given LSP or LSP template:
By default, LSPs and LSP templates inherit the configuration at the MPLS level. However, LSP Self Ping may be enabled for a specific LSP or LSP template using the lsp-self-ping enable command. LSP Self Ping may be explicitly disabled for a given LSP or LSP template, even if enabled at the MPLS level, using the lsp-self-ping disable command.
When LSP Self Ping is enabled, destination UDP port 8503 is opened and a unique session ID is allocated for each RSVP LSP path. When an RESV message is received following a resignaling event, LSP Self Ping packets are sent at configurable periodic intervals until a reply is received from the far end for that session ID.
LSP Self Ping applies in cases where the active path is changed, while the previous active path remains up, whether it is FRR/MBB or pre-empted. These cases are as follows:
A path can go to a degraded state either due to FRR active (only on the primary path), soft pre-emption, or LSP BFD down (when the failure action is failover).
The system does not activate a candidate path until the first LSP Self Ping reply is received, subject to the timeout. The LSP Self Ping timer is started when the RESV message is received. The system will then periodically send LSP Self Ping packets until the timer expires or the first LSP Self Ping reply is received, whichever comes first. If the timeout expires before an LSP Self Ping reply has been received and the timeout-action is set to retry, then the system tears down the candidate path (in the case of switching between paths) and go back to CSPF for a new path. The system will then start the LSP Self Ping cycle again after a new path is obtained. In the case of switching between paths, the system retries immediately and will increment the retry counter. In the case of MBB, the system retries immediately, but will not increment the retry counter, which has the effect of continuously repeating the retry/LSP Self Ping cycle until a new path is successfully established.
| Note: If the configured timeout value is changed for an LSP with an in-progress LSP Self Ping session, the previous timer will complete, and the new value is not used until the next lsp-self-ping session. |
If no timeout is configured, then the default value is used.
The router can send LSP Self Ping packets at a combined rate across all sessions of 125 packets per second. This means that it takes 10 seconds to detect that the data plane is forwarding for 1250 LSPs. If the number of currently in-progress LSP Self Ping sessions reaches 125 PPS with no response, then the system continues with these LSP self ping sessions until the timeout is reached and is not able to test additional LSP paths. In scaled scenarios, it is recommended that the lsp-self-ping interval and timeout values be configured so that LSP self ping sessions are completed (either successfully or through timing out) so that all required LSP paths are tested within an acceptable timeframe.
In traffic engineered networks, IGP-TE advertisements are used to distribute bandwidth availability on each link. This bandwidth availability information only accounts for RSVP-TE LSP set-ups and tear-downs. However, network deployments often have labeled traffic (other than RSVP-TE LSP) flowing on the same links as these RSVP-TE LSPs, in particular when MPLS Segment Routing (MPLS-SR) is deployed. The bandwidth consumed by this labeled traffic is often referred to as dark bandwidth.
The bandwidth consumed by, for example, MPLS-SR traffic is not accounted for in IGP-TE advertisements. This unaccounted-for traffic may result in suboptimal constrained routing decisions or contention for the access to the bandwidth resource. SR OS enables accounting for dark bandwidth in IGP-TE advertisement and provides the means to control the behavior of this accounting.
To configure dark bandwidth accounting:
| Note: Only one keyword parameter is available (sr) for this command, so only MPLS-SR is considered as contributing to dark bandwidth. |
| Note: After dark bandwidth has been enabled, auxiliary statistics collection cannot be disabled. Dark bandwidth accounting must be disabled (no dbw-accounting) before auxiliary statistics collection can be disabled. |
When dark bandwidth accounting is enabled, the system samples dark bandwidth at the end of every sample interval and computes an average after sample-multiplier samples. The system applies a multiplier (dbw-multiplier) to the computed average dark bandwidth and then determines whether an IGP-TE update is required based on whether one of the thresholds (up-threshold or down-threshold) has been crossed. If an IGP-TE advertisement is required, the bandwidth information is updated, considering that dark bandwidth has the highest priority among the eight available priorities. These thresholds represent a change of Maximum Reservable Bandwidth (OSPF) or Maximum Reservable Link Bandwidth (IS-IS) compared to the previously advertised bandwidth. These parameters are generally global parameters, but it is possible to override the global value of some parameters on a per-interface basis.
The show>router>rsvp>status command allows the user to view, on a global or per-interface basis, key values associated with the dark bandwidth accounting process.
Point-to-multipoint (P2MP) RSVP LSP allows the source of multicast traffic to forward packets to one or many multicast receivers over a network without requiring a multicast protocol, such as PIM, to be configured in the network core routers. A P2MP LSP tree is established in the control plane which path consists of a head-end node, one or many branch nodes, and the leaf nodes. Packets injected by the head-end node are replicated in the data plane at the branching nodes before they are delivered to the leaf nodes.
Figure 36 illustrates the use of the 7450 ESS, 7750 SR, and 7950 XRS in triple play application (TPSDA). The Broadband Service Router (BSR) is a 7750 SR and the Broadband Service Aggregator (BSA) is the 7450 ESS.

A PIM-free core network can be achieved by deploying P2MP LSPs using other core routers. The router can act as the ingress LER receiving the multicast packets from the multicast source and forwarding them over the P2MP LSP.
A router can act as a leaf for the P2MP LSP tree initiated from the head-end router co-located with the video source. The router can also act as a branch node serving other leaf nodes and supports the replication of multicast packets over P2MP LSPs.
A P2MP LSP is a unidirectional label switched path (LSP) which inserts packets at the root (ingress LER) and forwards the exact same replication of the packet to one or more leaf nodes (egress LER). The packet can be replicated at the root of P2MP LSP tree and/or at a transit LSR which acts as a branch node for the P2MP LSP tree.
Note that the data link layer code-point, for example Ethertype when Ethernet is the network port, continues to use the unicast codepoint defined in RFC 3032, MPLS Label Stack Encoding, and which is used on P2P LSP. This change is specified in draft-ietf-mpls-multicast-encaps, MPLS Multicast Encapsulations.
When a router sends a packet over a P2MP LSP which egresses on an Ethernet-based network interface, the Ethernet frame uses a MAC unicast destination address when sending the packet over the primary P2MP LSP instance or over a P2P bypass LSP). Note that a MAC multicast destination address is also allowed in the draft-ietf-mpls-multicast-encaps. Therefore, at the ingress network interface on an Ethernet port, the router can accept both types of Ethernet destination addresses.
The following procedures occur at the root of the P2MP LSP (head-end or ingress LER node):
The following procedures occur at an LSR node that is not a branch node:
The following is an exception handling procedure for control packets received on an ILM in an LSR.
The following procedures occur at an LSR node that is a branch node:
The following is an exception handling procedure for control packets received on an ILM in a branch LSR:
The following procedures occur at the leaf node of the P2MP LSP (egress LER):
The following is an exception handling procedure for control packets received on an ILM in an egress LER.
The following are procedures at an LSR node which is both a branch node and an egress leaf node (bud node):
The following are the exception handling procedures for control packets received on an ILM in a bud LSR:
The SR OS provides the ingress multicast path management (IMPM) capability that allows users to manage the way IP multicast streams are forwarded over the router’s fabric and to maximize the use of the fabric multicast path capacity.
IMPM consists of two components, a bandwidth policy and a multicast information policy. The bandwidth policy configures the parameters of the multicast paths to the fabric. This includes the multicast queue parameters of each path. The multicast information policy configures the bandwidth and preference parameters of individual multicast flows corresponding to a channel, for example, a <*,G> or a <S,G>, or a bundle of channels.
By default, the XCM (on the 7950 XRS) and the IOM/IMM (on the 7750 SR and 7450 ESS) ingress data paths provides two multicast paths through the fabric referred to as high-priority path and low-priority path respectively. When a multicast packet is received on an ingress network or access interface or on a VPLS SAP, the packet’s classification will determine its forwarding class and priority or profile as per the ingress QoS policy. This then determines which of the SAP or interface multicast queues it must be stored in. By default SAP and interface expedited forwarding class queues forward over the high-priority multicast path and the non-expedited forwarding class queues forward over the low-priority multicast path.
When IMPM on the ingress FP is enabled on the 7950 XRS, 7750 SR, or 7450 ESS, one or more multicast paths are enabled depending on the hardware in use. In addition, for all routers, multicast flows managed by IMPM are stored in a separate shared multicast queue for each multicast path. These queues are configured in the bandwidth policy.
IMPM maps a packet to one of the paths dynamically based on monitoring the bandwidth usage of each packet flow matching a <*,G> or <S,G> record. The multicast bandwidth manager also assigns multicast flows to a primary path based on the flow preference until the rate limits of each path is reached. At that point in time, a multicast flow is mapped to the secondary flow. If a path congests, the bandwidth manager will remove and black-hole lower preference flows to guarantee bandwidth to higher preference flows. The preference of a multicast flow is configured in the multicast info policy.
A packet received on a P2MP LSP ILM is managed by IMPM when IMPM is enabled on the ingress XMA or the ingress FP and the packet matches a specific multicast record. When IMPM is enabled but the packet does not match a multicast record, or when IMPM is disabled, a packet received on a P2MP LSP ILM is mapped to a multicast path.
On an ingress XCM or IOM/IMM, there are multiple multicast paths available to forward multicast packets, depending on the hardware being used. Each path has a set of multicast queues and associated with it. Two paths are enabled by default, a primary path and a secondary path, and represent the high-priority and low-priority paths respectively. Each VPLS SAP, access interface, and network interface will have a set of per forwarding class multicast and/or broadcast queues which are defined in the ingress QoS policy associated with them. The expedited queues are attached to the primary path while the non-expedited queues are attached to secondary path.
When IMPM is enabled and/or when a P2MP LSP ILM exists on the ingress XCM or IOM/IMM, the remaining multicast paths are also enabled. 16 multicast paths are supported by default with 28 on 7950 XRS systems and 7750 SR-12e systems, with the latter having the tools perform system set-fabric-speed fabric-speed-b. One path remains as a secondary path and the rest are primary paths.
A separate pair of shared multicast queues is created on each of the primary paths, one for IMPM managed packets and one for P2MP LSP packets not managed by IMPM. The secondary path does not forward IMPM managed packets or P2MP LSP packets. These queues have a default rate (PIR=CIR) and CBS/MBS/low-drop-tail thresholds, but these can be changed under the bandwidth policy.
A VPLS snooped packet, a PIM routed packet, or a P2MP LSP packet is managed by IMPM if it matches a <*,G> or a <S,G> multicast record in the ingress forwarding table and IMPM is enabled on the ingress XMA or the FP where the packet is received. The user enables IMPM on the ingress XMA data path or the FP data path using the config>card>fp>ingress>mcast-path-management command.
A packet received on an IP interface and to be forwarded to a P2MP LSP NHLFE or a packet received on a P2MP LSP ILM is not managed by IMPM when IMPM is disabled on the ingress XMA or the FP where the packet is received or when IMPM is enabled but the packet does not match any multicast record. A P2MP LSP packet duplicated at a branch LSR node is an example of a packet not managed by IMPM even when IMPM is enabled on the ingress XMA or the FP where the P2MP LSP ILM exists. A packet forwarded over a P2MP LSP at an ingress LER and which matches a <*,G> or a <S,G> is an example of a packet which is not managed by IMPM if IMPM is disabled on the ingress XMA or the FP where the packet is received.
When a P2MP LSP packet is not managed by IMPM, it is stored in the unmanaged P2MP shared queue of one of the primary multicast paths.
By default, non-managed P2MP LSP traffic is distributed across the IMPM primary paths using hash mechanisms. This can be optimized by enabling IMPM on any forwarding complex, which allows the system to redistribute this traffic on all forwarding complexes across the IMPM paths to achieve a more even capacity distribution. Be aware that enabling IMPM will cause routed and VPLS (IGMP and PIM) snooped IP multicast groups to be managed by IMPM.
The above ingress data path procedures apply to packets of a P2MP LSP at ingress LER, LSR, branch LSR, bud LSR, and egress LER. Note that in the presence of both IMPM managed traffic and unmanaged P2MP LSP traffic on the same ingress forwarding plane, the user must account for the presence of the unmanaged traffic on the same path when setting the rate limit for an IMPM path in the bandwidth policy.
P2MP RSVP LSP is specified in RFC 4875, Extensions to Resource Reservation Protocol - Traffic Engineering (RSVP-TE) for Point-to-Multipoint TE Label Switched Paths (LSPs).
A P2MP LSP is modeled as a set of source-to-leaf (S2L) sub-LSPs. The source or root, for example the head-end node, triggers signaling using one or multiple path messages. A path message can contain the signaling information for one or more S2L sub-LSPs. The leaf sub-LSP paths are merged at branching points.
A P2MP LSP is identified by the combination of <P2MP ID, tunnel ID, extended tunnel ID> part of the P2MP session object, and <tunnel sender address, LSP ID> fields in the P2MP sender_template object.
A specific sub-LSP is identified by the <S2L sub-LSP destination address> part of the S2L_SUB_LSP object and an ERO and secondary ERO (SERO) objects.
The following are characteristics of this feature:
Multicast packets are forwarded over the P2MP LSP at the ingress LER based on a static join configuration of the multicast group against the tunnel interface associated with the originating P2MP LSP. At the egress LER, packets of a multicast group are received from the P2MP LSP via a static assignment of the specific <S,G> to the tunnel interface associated with a terminating LSP.
To forward multicast packets over a P2MP LSP, perform the following steps:
The tunnel interface identifier consists of a string of characters representing the LSP name for the RSVP P2MP LSP. Note that MPLS will actually pass to PIM a more structured tunnel interface identifier. The structure will follow the one BGP uses to distribute the PMSI tunnel information in BGP multicast VPN as specified in draft-ietf-l3vpn-2547bis-mcast-bgp, Multicast in MPLS/BGP IP VPNs. The format is: <extended tunnel ID, reserved, tunnel ID, P2MP ID> as encoded in the RSVP-TE P2MP LSP session_attribute object in RFC 4875.
The user can create one or more tunnel interfaces in PIM and associate each to a different RSVP P2MP LSP. The user can then assign static multicast group joins to each tunnel interface. Note however that a given <*,G> or <S,G> can only be associated with a single tunnel interface.
A multicast packet which is received on an interface and which succeeds the RPF check for the source address is replicated and forwarded to all OIFs which correspond to the branches of the P2MP LSP. The packet is sent on each OIF with the label stack indicated in the NHLFE of this OIF. The packets will also be replicated and forwarded natively on all OIFs which have received IGMP or PIM joins for this <S,G>.
The multicast packet can be received over a PIM or IGMP interface which can be an IES interface, a spoke SDP-terminated IES interface, or a network interface.
In order to duplicate a packet for a multicast group over the OIF of both P2MP LSP branches and the regular PIM or IGMP interfaces, the tap mask for the P2MP LSP and that of the PIM based interfaces will need to be combined into a superset MCID.
The user configures a tunnel interface and associates it with a terminating P2MP LSP leaf using the command: config>router>tunnel-interface rsvp-p2mp lsp-name sender sender-address. The config>router>pim>tunnel-interface command has been discontinued.
The tunnel interface identifier consists of a couple of string of characters representing the LSP name for the RSVP P2MP LSP followed by the system address of the ingress LER. The LSP name must correspond to a P2MP LSP name configured by the user at the ingress LER and must not contain the special character “:” Note that MPLS will actually pass to PIM a more structured tunnel interface identifier. The structure will follow the one BGP uses to distribute the PMSI tunnel information in BGP multicast VPN as specified in draft-ietf-l3vpn-2547bis-mcast-bgp.The format is: <extended tunnel ID, reserved, tunnel ID, P2MP ID> as encoded in the RSVP-TE P2MP LSP session_attribute object in RFC 4875.
The egress LER accepts multicast packets using the following methods:
One or more primary tunnel interfaces in the base router instance can be configured. In other words, the user is able to receive different multicast groups, <*,G> or specific <S,G>, from different P2MP LSPs. This assumes that the user configured static joins for the same multicast groups at the ingress LER to forward over a tunnel interface associated with the same P2MP LSP.
A multicast info policy CLI option allows the user to define a bundle and specify channels in the bundle that must be received from the primary tunnel interface. The user can apply the defined multicast info policy to the base router instance.
At any given time, packets of the same multicast group can be accepted from either the primary tunnel interface associated with a P2MP LSP or from a PIM interface. These are mutually exclusive options. As soon as a multicast group is configured against a primary tunnel interface in the multicast info policy, it is blocked from other PIM interfaces.
However, if the user configured a multicast group to be received from a given primary tunnel interface, there is nothing preventing packets of the same multicast group from being received and accepted from another primary tunnel interface. However, an ingress LER will not allow the same multicast group to be forwarded over two different P2MP LSPs. The only possible case is that of two ingress LERs forwarding the same multicast group over two P2MP LSPs towards the same egress LER.
A multicast packet received on a tunnel interface associated with a P2MP LSP can be forwarded over a PIM or IGMP interface which can be an IES interface, a spoke SDP-terminated IES interface, or a network interface.
Note that packets received from a primary tunnel-interface associated with a terminating P2MP LSP cannot be forwarded over a tunnel interface associated with an originating P2MP LSP.
Segment routing adds to IS-IS and OSPF protocols the ability to perform shortest path routing and source routing using the concept of abstract segment. A segment can represent a local prefix of a node, a specific adjacency of the node (interface/next-hop), a service context, or a specific explicit path over the network. For each segment, the IGP advertises an identifier referred to as Segment ID (SID).
When segment routing is used together with MPLS data plane, the SID is a standard MPLS label. A router forwarding a packet using segment routing will therefore push one or more MPLS labels.
Segment routing using MPLS labels can be used in both shortest path routing applications (refer to the 7450 ESS, 7750 SR, 7950 XRS, and VSR Unicast Routing Protocols Guide for more information) and in traffic engineering (TE) applications, as described in this section.
The following are the objectives and applications of Segment Routing:
The following MPLS commands and nodes are supported:
The following MPLS commands and nodes are not supported:
The user can associate an empty path or a path with strict or loose explicit hops with the paths of the SR-TE LSP using the hop, primary, and secondary commands.
A hop that corresponds to an adjacency SID must be identified with its far-end host IP address (next-hop) on the subnet. If the local end host IP address is provided, this hop is ignored because this router can have multiple adjacencies (next-hops) on the same subnet.
A hop that corresponds to a node SID is identified by the prefix address.
Details of processing the user configured path hops are provided in SR-TE LSP Instantiation.
When an SR-TE LSP is configured on the router, its path can be computed by the router or by an external TE controller referred to as a Path Computation Element (PCE). This feature works with the Nokia stateful PCE which is part of the Network Services Platform (NSP).The SR OS supports the following modes of operations which are configurable on a per SR-TE LSP basis:
The user can configure the path computation requests only (PCE-computed) or both path computation requests and path updates (PCE-controlled) to PCE for a specific LSP using the path-computation-method pce and pce-control commands.
The path-computation-method pce option sends the path computation request to the PCE instead of the local CSPF. When this option is enabled, the PCE acts in Passive Stateful mode for this LSP. In other words, the PCE can perform path computations for the LSP only at the request of the router. This is used in cases where the operator wants to use the PCE specific path computation algorithm instead of the local router CSPF algorithm.
The default value is no path-computation-method.
The user can also enable the router's full CSPF path computation method. See SR-TE LSP Path Computation Using Local CSPF for more details.
The pce-control option allows the router to delegate full control of the LSP to the PCE (PCE-controlled). Enabling it means the PCE is acting in Active Stateful mode for this LSP and allows PCE to reroute the path following a failure or to re-optimize the path and update the router without requiring the router to request it.
Note:
|
In all cases, the PCC LSP database is synchronized with the PCE LSP database using the PCEP Path Computation State Report (PCRpt) message for LSPs that have the pce-report command enabled.
The global MPLS level pce-report command can be used to enable or disable PCE reporting for all SR-TE LSPs for the purpose of LSP database synchronization. This configuration is inherited by all LSPs of a given type. The PCC reports both CSPF and non-CSPF LSP. The default value is disabled (no pce-report). This default value controls the introduction of PCE into an existing network and allows the operator to decide if all LSP types need to be reported.
The LSP level pce-report command overrides the global configuration for reporting LSP to PCE. The default value is to inherit the global MPLS level value. The inherit value returns the LSP to inherit the global configuration for that LSP type.
| Note: If PCE reporting is disabled for the LSP, either due to inheritance or due to LSP level configuration, enabling the pce-control option for the LSP has no effect. To help troubleshoot this situation, operational values of both the pce-report and pce-control are added to the output of the LSP path show command. |
For more information about configuring PCC-Initiated and PCC-Controlled LSPs, see Configuring PCC-controlled, PCE-computed, and PCE-controlled SR-TE LSPs.
In this mode of operation, the user configures the LSP name, primary path name and optional secondary path name with the path information in the referenced path name, entering a full or partial explicit path with all or some hops to the destination of the LSP. Each hop is specified as an address of a node or an address of the next hop of a TE link. Optionally, each hop may be specified as a SID value corresponding to the MPLS label to use on a given hop. In this case, the whole path must consist of SIDs.
To configure a primary or secondary path to always use a specific link whenever it is up, the strict hop must be entered as an address corresponding to the next-hop of an adjacency SID, or the path must consist of SID values for every hop. If the strict hop corresponds to an address of a loopback address, it is translated into an adjacency SID as explained below and therefore does not guarantee that the same specific TE link is picked.
MPLS assigns a Tunnel-ID to the SR-TE LSP and a path-ID to each new instantiation of the primary path, as in an RSVP-TE LSP. These IDs are useful to represent the MBB path of the same SR-TE LSP which need to co-exist during the update of the primary path.
| Note: The concept of MBB is not exactly accurate in the context of a SR-TE LSP because there is no signaling involved and, as such, the new path information immediately overrides the older one. |
The router retains full control of the path of the LSP. The LSP path label stack size is checked by MPLS against the maximum value configured for the LSP after the TE-DB returns the label stack. See Service and Shortcut Application SR-TE Label Stack Check for more information about this check.
The ingress LER performs the following steps to resolve the user-entered path before programming it in the data path:
The router supports both a full CSPF and a basic hop-to-label translation path computation methods for a SR-TE LSP. In addition, the user can configure a path for the SR-TE LSP by explicitly entering SID label values.
The ingress LER has a few ways to detect a path is down or is not optimal and take immediate action:
With both the hop-to-label path computation method and the user configured SID labels, the ingress LER does not monitor network events which affect the reachability of the adjacency SID or node SID used in the label stack of the LSP, except for the top SID. As a result, the label stack may not be updated to reflect changes in the path except when seamless BFD is used to detect failure of the path. It is therefore recommended to use this type of SR-TE LSP in the following configurations only:
The user can also configure a SR-TE LSP with a single loose-hop using the anycast SID concept to provide LSR node protection within a given plane of the network TE topology. This is illustrated in Figure 37. The user configures all LSRs in a given plane with the same loopback interface address, which must be different from that of the system interface and the router-id of the router, and assigns them the same node-SID index value. All routers must use the same SRGB.

Then user configures in a LER a SR-TE LSP to some destination and adds to its path either a loose-hop matching the anycast loopback address or the explicit label value of the anycast SID. The SR-TE LSP to any destination will hop over the closest of the LSRs owning the anycast SID because the resolution of the node-SID for that anycast loopback address uses the closest router. When that router fails, the resolution is updated to the next closest router owning the anycast SID without changing the label stack of the SR-TE LSP.
In this mode of operation, the ingress LER uses Path Computation Element Communication Protocol (PCEP) to communicate with a PCE-based external TE controller (also referred to as the PCE). The router instantiates a PCEP session to the PCE. The router is referred to as the PCE Client (PCC).
The following PCE control modes are supported:
For the PCC to communicate with a PCE about the management of the path of a SR-TE LSP, the router implements the extensions to PCEP in support of segment routing (see the PCEP section for more information).This feature works with the Nokia stateful PCE, which is part of the Network Services Platform (NSP).
The following procedure describes configuring and programming a PCC-initiated SR-TE LSP when passive or active control is given to the PCE.
| Note: For the PCE to use the SRLG path diversity and admin-group constraints in the path computation, the user must configure the SRLG and admin-group membership against the MPLS interface and verify that the traffic-engineering option is enabled in IGP. This causes IGP to flood the link SRLG and admin-group membership in its participating area and for the PCE to learn it in its TE database. |
| Note: If the no pce-control command is performed while a PCUpdate MBB is in progress on the LSP, the router aborts and removes the information and state related to the in-progress PCUpdate MBB. As the LSP is no longer controlled by the PCE, the router may take further actions depending on the state of the LSP. For example, if the LSP is up, and has FRR active or pre-emption, then the router starts a GlobalRevert or pre-emption MBB. If the LSP is down, the router starts the retry-timer to trigger setup. |
| Note: The preceding procedure is followed when the user performs a no shutdown on a PCE-controlled or PCE-computed LSP. The starting point is an administratively-down LSP with no active paths. |
The following steps are followed for an LSP with an active path:
The PCE supports the computation of disjoint paths for two different LSPs originating or terminating on the same or different PE routers. To indicate this constraint to PCE, the user must configure the PCE path profile ID and path group ID the LSP belongs to. These parameters are passed transparently by PCC to PCE and, so, opaque data to the router. The user can configure the path profile and path group using the path-profile profile-id [path-group group-id] command.
The association of the optional path group ID is to allow PCE determine which profile ID this path group ID must be used with. One path group ID is allowed per profile ID. The user can, however, enter the same path group ID with multiple profile IDs by executing this command multiple times. A maximum of five entries of path-profile [path-group] can be associated with the same LSP. More details of the operation of the PCE path profile are provided in the PCEP section of this guide.
For PCC-controlled SR-TE LSPs, CSPF is supported on the router using the path-computation-method local-cspf command. See SR-TE LSP Path Computation Using Local CSPF for details about the full CSPF path computation method. By default, the path is computed using the hop-to-label translation method. In the latter case, MPLS makes a request to the TE-DB to get the label corresponding to each hop entered by the user in the primary path of the SR-TE LSP. See SR-TE LSP Path Computation Using Hop-to-Label Translation for details of the hop-to-label translation.
The user can configure the path computation request of a CSPF-enabled SR-TE LSP to be forwarded to a PCE instead of the local router CSPF (path-computation-method local-cspf option enabled) by enabling the path-computation-method pce option, as explained in SR-TE LSP Instantiation. The user can further delegate the re-optimization of the LSP to the PCE by enabling the pce-control option. In both cases, PCE is responsible for determining the label required for each returned explicit hop and includes this in the SR-ERO.
In all cases, the user can configure the maximum number of labels which the ingress LER can push for a given SR-TE LSP by using the max-sr-labels command.
This command is used to set a limit on the maximum label stack size of the SR-TE LSP primary path so as to allow room to insert additional transport, service, and other labels when packets are forwarded in a given context.
The max-sr-labels label-stack-size value should be set to account for the desired maximum label stack of the primary path of the SR-TE LSP. Its range is 1-11 and the default value is 6.
The value in additional-frr-labels labels should be set to account for additional labels inserted by remote LFA or Topology Independent LFA (TI-LFA) for the backup next-hop of the SR-TE LSP. Its range is 0-3 labels with a default value of 1.
The sum of both label values represents the worst case transport of SR label stack size for this SR-TE LSP and is populated by MPLS in the TTM such that services and shortcut applications can check it to decide if a service can be bound or a route can be resolved to this SR-TE LSP. More details of the label stack size check and requirements in various services and shortcut applications are provided in Service and Shortcut Application SR-TE Label Stack Check.
The maximum label stack supported by the router is discussed in Data Path Support and always signaled by PCC in the PCEP Open object as part of the SR-PCE-CAPABILITY TLV. It is referred to as the Maximum Stack Depth (MSD).
In addition, the per-LSP value for the max-sr-labels label-stack-size option, if configured, is signaled by PCC to PCE in the Segment-ID (SID) Depth value in a METRIC object for both a PCE-computed LSP and a PCE-controlled LSP. PCE will compute and provide the full explicit path with TE-links specified. If there is no path with the number of hops lower than the MSD value, or the SID Depth value if signaled, a reply with no path is returned to PCC.
For a PCC-controlled LSP, if the label stack returned by the TE-D exceeds the per LSP maximum SR label stack size, the LSP is brought down.
If a packet forwarded in a service or a shortcut application resulted in the net label stack size being pushed on the packet to exceed the maximum label stack supported by the router, the packet got dropped on the egress. Each service and shortcut application on the router performs a check of the resulting net label stack after pushing all the labels required for forwarding the packet in that context.
To that effect, the MPLS module populates each SR-TE LSP in the TTM with the maximum transport label stack size, which consists of the sum of the values in max-sr-labels label-stack-size and additional-frr-labels labels.
Each service or shortcut application will then add the additional, context-specific labels, such as service label, entropy/hash label, and control-word, required to forward the packet in that context and to check that the resulting net label stack size does not exceed the maximum label stack supported by the router.
If the check succeeds, the service is bound or the prefix is resolved to the SR-TE LSP.
If the check fails, the service will not bind to this SR-TE LSP. Instead, it will either find another SR-TE LSP or another tunnel of a different type to bind to, if the user configured the use of other tunnel types. Otherwise, the service will go down. When the service uses a SDP with one or more SR-TE LSP names, the spoke SDP bound to this SDP will remain operationally down as long as at least one SR-TE LSP fails the check. In this case, a new spoke SDP flag is displayed in the show output of the service: "labelStackLimitExceeded". Similarly, the prefix will not get resolved to the SR-TE LSP and will either be resolved to another SR-TE LSP or another tunnel type, or will become unresolved.
The value of additional-frr-labels labels is checked against the maximum value across all IGP instances of the parameter frr-overhead. This parameter is computed within a given IGP instance as shown in Table 21.
Condition | frr-overhead Parameter Value |
segment-routing is disabled in the IGP instance | 0 |
segment-routing is enabled but remote-lfa is disabled | 0 |
segment-routing is enabled and remote-lfa is enabled | 1 |
When the user configures or changes the configuration of additional-frr-labels, MPLS ensures that the new value accommodates the frr-overhead value across all IGP instances.
Example:
If the check is successful, MPLS then adds max-sr-labels and additional-frr-labels and checks that the result is lower or equal to the maximum label stack supported by the router. MPLS then populates the value of {max-sr-labels + additional-frr-labels}, along with tunnel information in TTM, and also passes max-sr-labels to the PCEP module.
Conversely, if the user tries a configuration change that results in a change to the computed frr-overhead, then IGP will check that all SR-TE LSPs can properly account for the overhead or the change is rejected. On the IGP, enabling remote-lfa may cause the frr-overhead to change.
Example:
MPLS passes the path information to the TE-DB, which converts the list of hops into a label stack as follows:
| Note: For the hop-to-label translation to operate, the user must enable TE on the network links, meaning to add the network interfaces to MPLS and RSVP. In addition, the user must enable the traffic-engineering option on all participating router IGP instances. Note that if any router has the database-export option enabled in the participating IGP instances to populate the learned IGP link state information into the TE-DB, then enabling of the traffic-engineering option is not required. For consistency purposes, it is recommended to have the traffic-engineering option always enabled. |
This feature introduces full CSPF path computation for SR-TE LSP paths.
The hop-to-label translation, the local CSPF, or the PCE path computation methods for a SR-TE LSP can be user-selected with the following path-computation-method [local-cspf | pce ] command. The no form of this command sets the computation method to the hop-to-label translation method, which is the default value. The pce option is not supported with the SR-TE LSP template.
The following are the MPLS and TE database features for extending CSPF support to SR-TE LSP:
When the traffic-engineering command is enabled in an OSPFv2 instance in the current implementation of SR OS, only local and remote TE-enabled links are added into the TE-DB. A TE-link is a link that has one or more TE attributes added to it in the MPLS interface context. Link TE attributes are TE metric, bandwidth, and membership in a SRLG or an Admin-Group.
In order to allow the SR-TE LSP path computation to use SR-enabled links which do not have TE attributes, the following changes are made:
As a consequence of this change, CSPF can compute an SR-TE LSP with SR-enabled links that do not have TE attributes. This means that if the user admin shuts down an interface in MPLS, an SR-TE LSP path which uses this interface will not go operationally down.
The local CSPF for a SR-TE LSP is performed in two phases. The first phase (Phase 1) computes a fully explicit path with all TE links to the destination specified as in the case of a RSVP-TE LSP.
If the user enabled label stack reduction or compression for this LSP, a second phase (Phase 2) is applied to reduce the label stack so that adjacency SIDs corresponding to a segment of the explicit path are replaced with a node SID whenever the constraints of the path are met by all the ECMP paths to that node SID. The details of the label reduction are provided in SR-TE LSP Path Label Stack Reduction.
The CSPF computation algorithm for the fully explicit path in the first phase remains mostly unchanged from its behavior in RSVP-TE LSP.
The meaning of a strict and loose hop in the path of the LSP are the same as in CSPF for RSVP-TE LSP. A strict hop means that the path from the previous hop must be a direct link. A loose hop means the path from the previous hop can traverse intermediate routers.
A loose hop may be represented by a set of back-to-back adjacency SIDs if not all paths to the node SID of that loose hop satisfy the path TE constraints. This is different from the ip-to-label path computation method where a loose hop always matches a node SID since no TE constraints are checked in the path to that loose hop.
When the label stack of the path is reduced or compressed, it is possible that a strict hop is represented by a node SID, if all the links from the previous hop satisfy the path TE constraints. This is different from the ip-to-label path computation method wherein a strict hop always matches an adjacency SID or a parallel adjacency set SID.
The first phase of CSPF returns a full explicit path with each TE link specified all the way to the destination and which label stack may contain protected adjacency SIDs, unprotected adjacency SIDs, and adjacency set SIDs. The user can influence the type of adjacency protection for the SR-TE LSP using a CLI command as explained in SR-TE LSP Path Protection.
The SR OS does not support the origination of a global adjacency SID. If received from a third-party router implementation, it is added into the TE database but is not used in any CSPF path computation.
Also introduced with SR-TE LSP is the indication by the user if the path of the LSP must use protected or unprotected adjacencies exclusively for all links of the path.
When SR OS routers form an IGP adjacency over a link and segment-routing context is enabled in the IGP instance, the static or dynamic label assigned to the adjacency is advertised in the link adjacency SID sub-TLV. By default, an adjacency is always eligible for LFA/RLFA/TI-LFA protection and the B-flag in the sub-TLV is set. The presence of a B-flag does not reflect the instant state of the availability of the adjacency LFA backup; it reflects that the adjacency is eligible for protection. The SR-TE LSP using the adjacency in its path still comes up if the adjacency does not have a backup programmed in the data path at that instant. Use the configure>router>isis>interface> no sid-protection command to disable protection. When protection is disabled, the B-flag is cleared and the adjacency is not eligible for protection by LFA/RLFA/TI-LFA.
SR OS also supports the adjacency set feature that treats a set of adjacencies as a single object and advertises a link adjacency sub-TLV for it with the S-flag (SET flag) set to 1. The adjacency set in the SR OS implementation is always unprotected, even if there is a single member link in it and therefore the B-flag is always clear. Only a parallel adjacency set, meaning that all links terminate on the same downstream router, are used by the local CSPF feature.
Be aware that the same P2P link can participate in a single adjacency and in one or more adjacency sets. Therefore, multiple SIDs can be advertised for the same link.
Third party implementations of Segment Routing may advertise two SIDs for the same adjacency: one protected with B-flag set and one unprotected with B-flag clear. SR OS can achieve the same behavior by adding a link to a single-member adjacency SET, in which case a separate SID is advertised for the SET and the B-flag is cleared while the SID for the regular adjacency over that link has its B-flag set by default. In all cases, SR OS CSPF can use all local and remote SIDs to compute a path for an SR-TE LSP based on the desired local protection property.
There are three different behaviors of CSPF introduced with SR-TE LSP with respect to local protection:
The local-sr-protection command impacts PCE-computed and PCE-controlled SR-TE LSP. When the local-sr-protection command is set to the default value preferred, or to the explicit value of mandatory, the local-protection-desired flag (L-flag) in the LSPA object in the PCReq (Request) message or in the PCRpt (Report) message is set to a value of 1.
When the local-sr-protection command is set to none, the local-protection-desired flag (L-flag) in the LSPA object is cleared. The PCE path computation checks this flag to decide if protected adjacencies are used in preference to unprotected adjacencies (L-flag set) or must not be used at all (L-flag clear) in the computation of the SR-TE LSP path.
The objective of the label stack reduction is twofold:
If the user enables the label-stack-reduction command for this LSP, a second phase is applied attempting to reduce the label stack that resulted from the fully explicit path with adjacency SIDs and adjacency sets SIDs computed in the first phase.
This is to attempt a replacement of adjacency and adjacency set SIDs corresponding to a segment of the explicit path with a node SID whenever the constraints of the path are met by all the ECMP paths to that node SID.
This is the procedure followed by the label stack reduction algorithm:
Label stack reduction is only attempted when the path protection local-sr-protection command is disabled or is configured to the value of preferred.
If local-sr-protection is configured to a value of none or mandatory, the command is ignored, and the fully explicit path computed out of Phase 1 is returned by the TE-DB CSPF routine to MPLS. This is because a node SID used to replace an adjacency SID or an adjacency set SID can be unprotected or protected by LFA and this is based on local configuration on each router which resolves this node SID but is not directly known in the information advertised into the TE-DB. Therefore, CSPF cannot enforce the protection constraint requested along the path to that node SID.
Figure 38 illustrates a metro aggregation network with three levels of rings for aggregating regional traffic from edge ring routers into a PE router.

The path of the highlighted LSP uses admin groups to force the traffic eastwards or westwards over the 3-ring topologies such that it uses the longest path possible. Assume all links in a bottom-most ring1 have admin-group=east1 for the eastward direction and admin-group=west1 for the westward direction.
Similarly, links in middle ring2 have admin-group=east2 and admin-group=west2 and links in top-most ring3 have admin-group=east3 and admin-group=west3. To achieve the longest path shown, the LSP or path should have an include statement: include east1 west2 east3. The fully explicit path computed in Phase 1 of CSPF results in label stack of size 18.
The label stack reduction algorithm searches for the farthest node SID in that path which can replace a segment of the strict path while maintaining the stated admin-group constraints. The reduced label stack contains the SID adjacency MSR1-MSR2, the found node SIDs plus the node SID of the destination for a total of four labels to be pushed on the packet (the label for the adjacency MSR1-MSR2 is not pushed):
{N-SID MNR2, N-SID of MNR3, N-SID of MJR8, N-SID of PE1}
Figure 39 illustrates an example topology which creates two TE planes by applying a common admin group to all links of a given plane. There are a total of four ECMP paths to reach PE2 from PE1, two within the red plane and two within the blue plane.

For a SR-TE LSP from PE1 to PE2 which includes the red admin-group as a constraint, Phase 1 of CSPF results in two fully explicit paths using adjacency SID of the red TE links:
path 1 = {PE1-P1, P1-P2, P2-P3, P3-PE2}
path 2 = {PE1-P1, P1-P4, P4-P3, P3-PE2}
Phase 2 of CSPF finds node SID of P3 as the farthest hop it can reach directly from PE1 while still satisfying the ‘include red’ admin-group constraint. If the node SID of PE2 is used as the only SID, then traffic would also be sent over the blue links.
Then, the reduced label stack is: {P3 Node-SID=300, PE2 Node-SID=20}.
The resulting SR-TE LSP path combines the two explicit paths out of Phase 1 into a single path with ECMP support.
SR OS supports the ability for SR-TE primary and secondary paths to use a configured path containing explicit SID values. The SID value for an SR-TE LSP hop is configured using the sid-label command under configure>router>mpls>path as follows:
Where sid-value specifies an MPLS label value for that hop in the path.
When SIDs are explicitly configured for a path, the user must provide all of the necessary SIDs to reach the destination. The router does not validate whether the whole label stack provided is correct other than checking that the top SID is programmed locally. A path can come up even if it contains SIDs that are invalid. The user or controller programming the path should ensure that the SIDs are correct. A path must consist of either all SIDs or all IP address hops.
A path containing SID label hops is used even if path-computation-method {local-cspf | pce} is configured for the LSP. That is, the path computation method configured at the LSP level is ignored when explicit SIDs are used in the path. This means that the router can bring up the path if the configured path contains SID hops even if the LSP has path computation enabled.
| Note: When an LSP consists of some SID label paths and some paths under local-CSPF computation, the router cannot guarantee SRLG diversity between the CSPF paths and the SID label paths because CSPF does not know of the existence of the SID label paths because they are not listed in the TE database. |
Paths containing explicit SID values can only be used by SR-TE LSPs.
The router supports local protection of a given segment of an SR-TE LSP, and end-to-end protection of the complete SR-TE LSP.
Each path is locally protected along the network using LFA/remote-LFA next-hop whenever possible. The protection of a node SID re-uses the LFA and remote LFA features introduced with segment routing shortest path tunnels; the protection of an adjacency SID has been added to the SR OS in the specific context of an SR-TE LSP to augment the protection level. The user must enable the loopfree-alternates [remote-lfa] option in IS-IS or OSPF.
An SR-TE LSP has state at the ingress LER only. The LSR has state for the node SID and adjacency SID, whose labels are programmed in label stack of the received packet and which represent the part of the ERO of the SR-TE LSP on this router and downstream of this router. In order to provide protection for a SR-TE LSP, each LSR node must attempt to program a link-protect or node-protect LFA next-hop in the ILM record of a node SID or of an adjacency SID and the LER node must do the same in the LTN record of the SR-TE LSP. The following are details of the behavior:
| Note: Only link protection is possible in this case because packets matching this ILM record can either terminate on the neighboring router owning the node SID or can be forwarded to different next-hops of the neighboring router; that is, to different next-next-hops of the LSR providing the protection. The LSR providing the connection does not have context to distinguish among all possible SR-TE LSPs and, as such, can only protect the link to the neighboring router. |
When an adjacency to a neighbor fails, IGP withdraws the advertisement of the link TLV information as well as its adjacency SID sub-TLV. However, the LTN or ILM record of the adjacency SID must be kept in the data path for a sufficient period of time to allow the ingress LER to compute a new path after IGP converges. If the adjacency is restored before the timer expires, the timer is aborted as soon as the new ILM or LTN records are updated with the new primary and backup NHLFE information. By default, the ILM/LTN and NHLFE information is kept for a period of 15 seconds.
The adjacency SID hold timer is configured using the adj-sid-hold command, and activated when the adjacency to neighbor fails due to the following conditions:
Note:
|
While protection is enabled globally for all node SIDs and local adjacency SIDs when the user enables the loopfree-alternates option in ISIS or OSPF at the LER and LSR, there are applications where the user wants traffic to never divert from the strict hop computed by CSPF for a SR-TE LSP. In that case, the user can disable protection for all adjacency SIDs formed over a given network IP interface using the sid-protection command.
The protection state of an adjacency SID is advertised in the B-FLAG of the IS-IS or OSPF Adjacency SID sub-TLV. No mechanism exists in PCEP for the PCC to signal to PCE the constraint to use only adjacency SIDs, which are not protected. The Path Profile ID is configured in PCE with the no-protection constraint.
Each path may be locally protected through the network using LFA/remote-LFA nexthop whenever possible. The protection of a SID node re-uses the LFA and remote LFA features introduced with segment routing shortest path tunnels; the protection of an adjacency SID has been added to the SR OS in the specific context of an SR-TE LSP to augment the protection level. The user must enable the loopfree-alternates remote-lfa option in IS-IS or OSPF.
This behavior is already supported in the SR shortest path tunnel feature at both LER and LSR. As such, an SR-TE LSP that transits at an LSR and that matches the ILM of a downstream SID node automatically takes advantage of this protection when enabled. If required, SID node protection can be disabled under the IGP instance by excluding the prefix of the SID node from LFA.
This section provides a brief introduction to end to end protection for SR-TE LSPs. See Seamless BFD for SR-TE LSPs for more detailed description of protection switching using Seamless BFD and a configured failure-action.
End-to-end protection for SR-TE LSPs is provided using secondary or standby paths. Standby paths are permanently programmed in the data path, while secondary paths are only programmed when they are activated. S-BFD is used to provide end-to-end connectivity checking. The failure-action failover-or-down command under the bfd context of the LSP configures a switchover from the currently active path to an available standby or secondary path if the S-BFD session fails on the currently active path. If S-BFD is not configured, then the router that is local to a segment, can only detect failures of the top SID for that segment. End-to-end protection with S-BFD may be combined with local protection, but it is recommended that the S-BFD control packet timers be set to 1 second or more to allow sufficient time for any local protection action for a given segment to complete without triggering S-BFD to go down on the end to end LSP path.
To prevent failure between the paths of an SR-TE LSP, that is to avoid, for example, a failure of a primary path that affects its standby backup path, then disjoint paths should be configured or the srlg command configured on the secondary paths.
As with RSVP-TE LSPs, SR-TE standby paths support the configuration of a path preference. This value is used to select the standby path to be used when more than one available path exists.
For more details of end to end protection of SR-TE LSPs with S-BFD, see section Seamless BFD for SR-TE LSPs.
Seamless BFD (S-BFD) is a form of BFD that requires significantly less state and reduces the need for session bootstrapping as compared to LSP BFD. For more information, refer to “Seamless Bidirectional Forwarding Detection (S-BFD)” in 7450 ESS, 7750 SR, 7950 XRS, and VSR OAM and Diagnostics Guide. S-BFD also requires centralized configuration for the reflector function, as well as a mapping at the head-end node between the remote session discriminator and the IP address for the reflector by each session. This configuration and the mapping are described in the 7450 ESS, 7750 SR, 7950 XRS, and VSR OAM and Diagnostics Guide. This user guide describes the application of S-BFD to SR-TE LSPs, and the LSP configuration required for this feature.
S-BFD is supported in the following SR objects or contexts:
For PCC-initiated or PCC-controlled LSPs, it is possible to configure an S-BFD session under the SR-TE LSP context, the primary path context, and the SR-TE secondary path by using the config>router>mpls>lsp, config>router>mpls >lsp>primary, and config>router>mpls>lsp>secondary commands.
The remote discriminator value is determined by passing the “to” address of the LSP to BFD, which then matches it to a mapping table of peer IP addresses to reflector remote discriminators, that are created by the centralized configuration under the IGP (refer to the 7450 ESS, 7750 SR, 7950 XRS, and VSR OAM and Diagnostics Guide). If there is no match to the “to” address of the LSP, then a BFD session is not established on the LSP or path.
| Note: A remote peer IP address to discriminator mapping must exist prior to bringing an LSP administratively up. |
The referenced BFD template must specify parameters consistent with an S-BFD session. For example, the endpoint type is cpm-np for platforms supporting a CPM P-chip, otherwise a CLI error is generated. The same BFD template can be used for both S-BFD and any other type of BFD session requested by MPLS.
If S-BFD is configured at the LSP level, then sessions are created on all paths of the LSP.
S-BFD can alternatively be configured on the primary or a specific secondary path of the LSP, as follows:
The wait-for-up-timer is only applicable if failure action is failover-or-down. For more information, see Support for BFD Failure Action with SR-TE LSPs.
For PCE-initiated LSPs and SR-TE auto LSPs, S-BFD session parameters are specified in the LSP template. The “to” address that is used for determining the remote discriminator is derived from the far end address of the auto LSP or PCE-initiated LSP.
SR OS supports the configuration of a failure-action of type failover-or-down for SR-TE LSPs. The failure-action command is configured at the LSP level or in the LSP template. It can be configured whether S-BFD is applied at the LSP level or the individual path level.
For LSPs with a primary path and a standby or secondary path and failure-action of type failover-or-down:
For LSPs with only one path and failure-action of type failover-or-down:
| Note: S-BFD and other OAM packets can still be sent on an operationally down SR-TE LSP. |
A path is first configured with S-BFD. This path is held operationally down and not added to the TTM until BFD comes up (subject to the BFD wait time).
The BFD wait-for-up-timer provides a mechanism that cleans up the LSP path state at the head end in both cases where S-BFD does not come up in the first place, and where S-BFD goes from up to down. This timer is started when BFD is first enabled on a path or an existing S-BFD session transitions from up to down. When this timer expires and if S-BFD is not up, the path is torn down by removing it from the TTM and the IOM and the LSP retry timer is started.
In the S-BFD up to down case, if there is only one path, the LSP is removed immediately from the TTM when S-BFD fails, and then deprogrammed when the wait-for-up-timer expires.
If all the paths of an LSP are operationally down due to S-BFD, then the LSP is taken operationally down and removed from the TTM and the BFD wait-for-up-timer is started for each path. If one or more paths do not have S-BFD configured on them, or are otherwise not down, then the LSP is not taken operationally down.
When an existing S-BFD session fails on a path and the failure action is failover-or-down, the path is put into the operationally down state. This state and reason code are displayed in a show>router>bfd>seamless-bfd command and a trap is raised. The configured failure action is then enacted.
A minimum control packet timer transmit interval of 10 ms can be configured. To maximize the reliability of S-BFD connectivity checking in scaled scenarios with short timers, cases where BFD can go down due to normal changes of the next hop of an LSP path at the head end must be avoided. It is therefore recommended that LFA is not configured at the head end LER when using S-BFD with sub-second timers. When the LFA is not configured, protection of the SR-TE LSP is still provided end-to-end by the combination of S-BFD connectivity checking and primary or secondary path protection.
Similar to the case of LDP and RSVP, S-BFD uses a single path for a loose hop; multiple S-BFD sessions for each of the ECMP paths or spraying of S-BFD packets across the paths is not supported. S-BFD is not down until all the ECMP paths of the loose hop go down.
| Note: With very short control packet timer values in scaled scenarios, S-BFD may bounce if the next-hop that the path is currently using goes down because it takes a finite time for BFD to be updated to use another next-hop in the ECMP set. |
The user can forward packets of a static route to an indirect next-hop over an SR-TE LSP programmed in TTM by configuring the following static route tunnel binding command:
The user can select the sr-te tunnel type and either specify a list of SR-TE LSP names to use to reach the indirect next-hop of this static route or have the SR-TE LSPs automatically select the indirect next-hop in TTM.
The user can forward packets of BGP prefixes over an SR-TE LSP programmed in TTM by configuring the following BGP shortcut tunnel binding command:
The user can enable SR-TE LSP, as programmed in TTM, for resolving the next-hop of a BGP IPv4 or IPv6 (6PE) label route by enabling the following BGP transport tunnel command:
An SDP sub-type of the MPLS encapsulation type allows service binding to a SR-TE LSP programmed in TTM by MPLS:
The user can specify up to 16 SR-TE LSP names. The destination address of all LSPs must match that of the SDP far-end option. Service data packets are sprayed over the set of LSPs in the SDP using the same procedures as for tunnel selection in ECMP. Each SR-TE LSP can, however, have up to 32 next-hops at the ingress LER when the first segment is a node SID-based SR tunnel. Consequently, service data packet will be forwarded over one of a maximum of 16x32 next-hops. The tunnel-far-end option is not supported. In addition, the mixed-lsp-mode option does not support the sr-te tunnel type.
The signaling protocol for the service labels for an SDP using a SR-TE LSP can be configured to static (off), T-LDP (tldp), or BGP (bgp).
An SR-TE LSP can be used in VPRN auto-bind with the following commands:
Both VPN-IPv4 and VPN-IPv6 (6VPE) are supported in a VPRN service using segment routing transport tunnels with the auto-bind-tunnel command.
This auto-bind-tunnel command is also supported with BGP EVPN service, as shown below:
The following service contexts are supported with SR-TE LSP:
The support of SR-TE in the data path requires that the ingress LER pushes a label stack where each label represents a hop, a TE link, or a node, in the ERO for the LSP path computed by the router or the PCE. However, only the label and the outgoing interface to the first strict/loose hop in the ERO factor into the forwarding decision of the ingress LER. In other words, the SR-TE LSP only needs to track the reachability of the first strict/loose hop.
This actually represents the NHLFE of the SR shortest path tunnel to the first strict/loose hop. SR OS keeps the SR shortest path tunnel to a downstream node SID or adjacency SID in the tunnel table and so its NHLFE is readily available. The rest of the label stack is not meaningful to the forwarding decision. In this document, “super NHLFE” refers to this part of the label stack because it can have a much larger size.
As a result, an SR-TE LSP is modeled in the ingress LER data path as a hierarchical LSP with the super NHLFE is tunneled over the NHLFE of the SR shortest path tunnel to the first strict/loose hop in the SR-TE LSP path ERO.
Some characteristics of this design are as follows:
The data path behavior at LSR and egress LER for an SR-TE LSP is similar to that of shortest path tunnel because there is no tunnel state in these nodes. The forwarding of the packet is based on processing the incoming label stack consisting of a node SID and/or adjacency SID label. If the ILM is for a node SID and multiple next-hops exist, then ECMP spraying is supported at the LSR.
The link-protect LFA backup next-hop for an adjacency SID can be programmed at the ingress LER and LSR nodes (as explained in SR-TE LSP Protection).
A maximum of 12 labels, including all transport, service, hash, and OAM labels, can be pushed. The label stack size for the SR-TE LSP can be 1 to 11 labels, with a default value of 6.
The maximum value of 11 is obtained for an SR-TE LSP whose path is not protected via FRR backup and with no entropy or hash label feature enabled when such an LSP is used as a shortcut for an IGP IPv4/IPv6 prefix or as a shortcut for BGP IPv4/IPv6. In this case, the IPv6 prefix requires pushing the IPv6 explicit-null label at the bottom of the stack. This leaves 11 labels for the SR-TE LSP.
The default value of 6 is obtained in the worst cases, such as forwarding a vprn-ping packet for an inter-AS VPN-IP prefix in Option C:
6 SR-TE labels + 1 remote LFA SR label + BGP 3107 label + ELI (RFC 6790) + EL (entropy label) + service label + OAM Router Alert label = 12 labels.
The label stack size manipulation includes the following LER and LSR roles:
LER role:
LSR role:
An example of the label stack pushed by the ingress LER and by a LSR acting as a PLR is illustrated in Figure 40.

On node A, the user configures an SR-TE LSP to node D with a list of explicit strict hops mapping to the adjacency SID of links: A-B, B-C, and C-D.
Ingress LER A programs a super NHLFE consisting of the label for the adjacency over link C-D and points it to the already-programmed NHLFE of the SR tunnel of its local adjacency over link A-B. The latter NHLFE has the top label and also the outgoing interface to send the packet to.
| Note: SR-TE LSP does not consume a separate backup super NHLFE; it only points the single super NHLFE to the NHLFE of the SR shortest path tunnel it is riding. When the latter activates its backup NHLFE, the SR-TE LSP will automatically forward over it. |
LSR Node B already programmed the primary NHLFE for the adjacency SID over link C-D and has the ILM with label 1001 point to it. In addition, node B will pre-program the link-protect LFA backup next-hop for link B-C and point the same ILM to it.
| Note: There is no super NHLFE at node B as it only deals with the programming of the ILM and primary/backup NHLFE of its adjacency SIDs and its local and remote node SIDs. |
VPRN service in node A forwards a packet to the VPN-IPv4 prefix X advertised by BGP peer D. Figure 40 shows the resulting data path at each node for the primary path and for the FRR backup path at LSR B.
The MPLS module assigns a TE-LSP the maximum LSP metric value of 16777215 when the local router provides the hop-to-label translation for its path. For a TE-LSP that uses the local CSPF or the PCE for path computation (path-computation-method pce option enabled) by PCE and/or which has its control delegated to PCE (pce-control enabled), the latter will return the computed LSP IGP or TE metric in the PCReq and PCUpd messages. In both cases, the user can override the returned value by configuring an admin metric using the command config>router>mpls>lsp>metric.
| Note: For the purpose of fragmentation of IP packets forwarded in GRT or in a VPRN over a SR-TE LSP, the IOM always deducts the worst case MTU (12 labels) from the outgoing interface MTU for the decision to fragment or not the packet. In this case, the above formula is not used. |
The LSR supports hashing up to a maximum of 16 labels in a stack. The LSR is able to hash on the IP headers when the payload below the label stack is IPv4 or IPv6, including when a MAC header precedes it (ethencap-ip option). Alternatively, it is able to hash based only on the labels in the stack, which may include the entropy label (EL) or the hash label. See the MPLS Entropy Label and Hash Label section for more information about the hash label and entropy label features.
When the hash-label option is enabled in a service context, a hash label is always inserted at the bottom of the stack as per RFC 6391.
The EL feature, as specified in RFC 6790, indicates the presence of a flow on an LSP that should not be reordered during load balancing. It can be used by an LSR as input to the hash algorithm. The Entropy Label Indicator (ELI) is used to indicate the presence of the EL in the label stack. The ELI, followed by the actual EL, is inserted immediately below the transport label for which the EL feature is enabled. If multiple transport tunnels have the EL feature enabled, the ELI and EL are inserted below the lowest transport label in the stack.
The EL feature is supported with an SR-TE LSP. See the MPLS Entropy Label and Hash Label section for more information.
The LSR hashing operates as follows:
The SR-TE auto-LSP feature allows the auto-creation of an SR-TE mesh LSP and for an SR-TE one-hop LSP.
The SR-TE mesh LSP feature specifically binds an LSP template of a new type, mesh-p2p-srte, with one more prefix list. When the TE database discovers a router, which has a router ID matching an entry in the prefix list, it triggers MPLS to instantiate an SR-TE LSP to that router using the LSP parameters in the LSP template.
The SR-TE one-hop LSP feature specifically activates an LSP template of a new type, one-hop-p2p-srte. In this case, the TE database keeps track of each TE link which comes up to a directly connected IGP neighbor. It then instructs MPLS to instantiate an SR-TE LSP with the following parameters:
In both types of SR-TE auto-LSP, the router’s hop-to-label translation or local CSPF computes the label stack required to instantiate the LSP path.
| Note: An SR-TE auto-LSP can be reported to a PCE but cannot be delegated or have its paths computed by PCE. |
This feature introduces two new LSP template types: one-hop-p2p-srte and mesh-p2p-srte. The configuration for these commands is the same as that of the RSVP-TE auto-lsp of type one-hop-p2p and mesh-p2p respectively.
The user first creates an LSP template of the one of the following types:
In the template, the user configures the common LSP and path level parameters or options shared by all LSPs using this template.
These new types of LSP templates contain the SR-TE LSP-specific commands as well as all other LSP or path commands common to RSVP-TE LSP and SR-TE LSP, and which are supported by the existing RSVP-TE LSP template.
Next, the user either binds the LSP template of type mesh-p2p-srte with one or more prefix lists using the config>router>mpls>lsp-template template-name policy peer-prefix-policy1 [peer-prefix-policy2] command, or binds the LSP template of type one-hop-p2p-srte with the one-hop option using the config>router>mpls>lsp-template template-name one-hop command.
See Configuring and Operating SR-TE for an example configuration of the SR-TE auto-LSP creation using an LSP template of type mesh-p2p-srte.
This feature behaves the same way as the RSVP-TE auto-LSP using an LSP template of type mesh-p2p.
The auto-lsp command binds an LSP template of type mesh-p2p-srte with one or more prefix lists. When the TE database discovers a router that has a router ID matching an entry in the prefix list, it triggers MPLS to instantiate an SR-TE LSP to that router using the LSP parameters in the LSP template.
The prefix match can be exact or longest. Prefixes in the prefix list that do not correspond to a router ID of a destination node will never match.
The path of the LSP is that of the default path name specified in the LSP template. The hop-to-label translation tool or the local CSPF determines the node SID and adjacency SID corresponding to each loose and strict hop in the default path definition respectively.
The LSP has an auto-generated name using the following structure:
“TemplateName-DestIpv4Address-TunnelId”
where:
In SR OS, an SR-TE LSP uses three different identifiers:
The path name is that of the default path specified in the LSP template.
| Note: This feature is limited to SR-TE LSP, that is controlled by the router (PCC-controlled) and which path is provided using the hop-to-label translation or the local CSPF path computation method. |
This feature like the RSVP-TE auto-LSP using an LSP template of one-hop-p2p type. Although the provisioning model and CLI syntax differ from that of a mesh LSP by the absence of a prefix list, the actual behavior is quite different. When the one-hop-p2p command is executed, the TE database keeps track of each TE link that comes up to a directly connected IGP neighbor. It then instructs MPLS to instantiate an SR-TE LSP with the following parameters:
In this case, the hop-to-label translation or the local CSPF returns the SID for the adjacency to the remote address of the neighbor on this link. Therefore, the auto-lsp command binding an LSP template of type one-hop-p2p-srte with the one-hop option results in one SR-TE LSP instantiated to the IGP neighbor for each adjacency over any interface.
Because the local router installs the adjacency SID to a link independent of whether the neighbor is SR-capable, the TE-DB finds the adjacency SID and a one-hop SR-TE LSP can still come up to such a neighbor. However, remote LFA using the neighbor’s node SID will not protect the adjacency SID and so, will also not protect the one-hop SR-TE LSP because the node SID is not advertised by the neighbor.
The LSP has an auto-generated name using the following structure:
“TemplateName-DestIpv4Address-TunnelId”
where:
The path name is that of the default path specified in the LSP template.
| Note: This feature is limited to an SR-TE LSP that is controlled by the router (PCC-controlled) and for which labels for the path are provided by the hop-to-label translation or the local CSPF path computation method. |
A template-based SR-TE auto-LSP can only be operated as a PCC-controlled LSP. It can, however, be reported to the PCE using the pce-report command. It cannot be operated as a PCE-computed or PCE-controlled LSP. This is the same interaction with PCEP as that of a template-based RSVP-TE LSP.
The following are the forwarding contexts that can be used by an auto-LSP:
The auto-LSP is, however, not available to be used in a provisioned SDP for explicit binding by services. Therefore, an auto-LSP can also not be used directly for auto-binding of a PW template with the use-provisioned-sdp option in BGP-AD VPLS or FEC129 VLL service. However, an auto-binding of a PW template to an LDP LSP, which is then tunneled over an SR-TE auto-LSP is supported.
As in RSVP-TE LSPs, it is possible to enable the collection of traffic statistics on SR-TE LSPs (using either a named LSP or SR-TE templates). However, traffic statistics are only available on egress or ingress LER. Also, traffic statistics cannot be recorded into an accounting file.
Unlike RSVP-TE LSP statistics, SR-TE LSP statistics are provided without any forwarding class or QoS profile distinction. However, traffic statistics are recorded and made available for each of the paths of the LSP (primary and backup). Statistic indexes are only allocated at the time the path is effectively programmed, are maintained across switch-over for primary and standbys only, and are released if egress statistics are disabled or the LSP is deleted.
| Note: SR-TE LSP egress statistics are not supported on VSR. |
Nokia routers enable service providers to deliver VPNs and Internet access using Generic Routing Encapsulation (GRE) and/or MPLS tunnels, with Ethernet interfaces and/or SONET/SDH (on the 7750 SR and 7450 ESS) interfaces.
A service distribution path (SDP) acts as a logical way of directing traffic from one router to another through a uni-directional (one-way) service tunnel. The SDP terminates at the far-end router which directs packets to the correct service egress service access point (SAP) on that device. All services mapped to an SDP use the same transport encapsulation type defined for the SDP (either GRE or MPLS).
For information about service transport tunnels, refer to the Service Distribution Paths (SDPs) section in the 7450 ESS, 7750 SR, 7950 XRS, and VSR Services Overview Guide. They can support up to eight forwarding classes and can be used by multiple services. Multiple LSPs with the same destination can be used to load-balance traffic.
Figure 41 displays the process to configure MPLS and RSVP parameters.

This section describes MPLS and RSVP caveats.